Logo Header
  1. Môn Toán
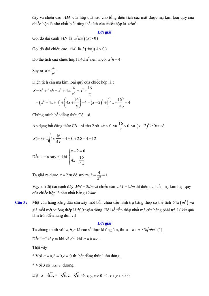
  2. chuyên đề các bài toán thực tế có liên quan đến cực trị ôn thi vào lớp 10

chuyên đề các bài toán thực tế có liên quan đến cực trị ôn thi vào lớp 10

Bạn đang xem tài liệu chuyên đề các bài toán thực tế có liên quan đến cực trị ôn thi vào lớp 10 được biên soạn theo môn toán mới nhất. Tài liệu này hệ thống hóa kiến thức một cách khoa học, phù hợp cho mọi lộ trình học từ cơ bản đến nâng cao. Hãy khai thác triệt để nội dung để bứt phá điểm số và tự tin chinh phục mọi kỳ thi nhé!

Tuyển tập bài toán cực trị thực tế – Công cụ ôn luyện hiệu quả cho kỳ thi tuyển sinh lớp 10 THPT

Tài liệu ôn tập toán, với độ dài 40 trang, là một nguồn tài liệu hữu ích dành cho học sinh đang chuẩn bị cho kỳ thi tuyển sinh vào lớp 10 THPT. Điểm nổi bật của tài liệu này nằm ở việc tập trung vào các bài toán cực trị có tính ứng dụng cao, gắn liền với các tình huống thực tế. Thay vì chỉ giới hạn trong các bài toán thuần túy, tài liệu đã khéo léo lồng ghép các yếu tố thực tiễn, giúp học sinh hiểu rõ hơn về ý nghĩa và tầm quan trọng của việc vận dụng kiến thức toán học vào giải quyết các vấn đề trong cuộc sống.

Đánh giá chung về nội dung và cấu trúc:

  1. Tính thực tiễn: Việc lựa chọn các bài toán cực trị có liên hệ với thực tế là một điểm cộng lớn. Điều này không chỉ giúp học sinh tăng hứng thú học tập mà còn rèn luyện khả năng tư duy logic, phân tích và giải quyết vấn đề một cách linh hoạt.
  2. Độ khó và phân loại bài toán: Để đánh giá chính xác hơn, cần xem xét sự đa dạng về độ khó của các bài toán trong tài liệu. Một tuyển tập tốt cần có sự cân bằng giữa các bài toán cơ bản, bài toán nâng cao và các bài toán đòi hỏi sự sáng tạo. Việc phân loại bài toán theo chủ đề hoặc mức độ khó cũng sẽ giúp học sinh dễ dàng lựa chọn và ôn tập phù hợp với trình độ của mình.
  3. Phương pháp giải và lời giải chi tiết: Chất lượng của lời giải chi tiết là yếu tố then chốt để đánh giá hiệu quả của một tài liệu ôn tập. Lời giải cần rõ ràng, dễ hiểu, trình bày logic các bước và giải thích cặn kẽ các khái niệm toán học liên quan. Ngoài ra, tài liệu nên cung cấp nhiều phương pháp giải khác nhau cho cùng một bài toán, giúp học sinh mở rộng kiến thức và kỹ năng.
  4. Tính cập nhật: Nội dung bài toán cần được cập nhật theo xu hướng đề thi tuyển sinh lớp 10 THPT trong những năm gần đây. Điều này đảm bảo rằng học sinh được làm quen với các dạng bài thường gặp và có sự chuẩn bị tốt nhất cho kỳ thi.

Phân tích chuyên sâu về chủ đề cực trị:

Chủ đề cực trị đóng vai trò quan trọng trong chương trình toán THCS và thường xuyên xuất hiện trong các kỳ thi tuyển sinh lớp 10. Việc nắm vững kiến thức về cực trị không chỉ giúp học sinh giải quyết các bài toán tối ưu hóa mà còn là nền tảng cho việc học tập các môn khoa học khác như vật lý, hóa học, kinh tế học. Tài liệu này, với việc tập trung vào các bài toán cực trị thực tế, sẽ giúp học sinh:

  • Hiểu rõ khái niệm cực trị: Học sinh sẽ được làm quen với các khái niệm như cực đại, cực tiểu, giá trị lớn nhất, giá trị nhỏ nhất và các phương pháp tìm cực trị của hàm số.
  • Rèn luyện kỹ năng vận dụng: Thông qua việc giải các bài toán thực tế, học sinh sẽ rèn luyện kỹ năng vận dụng các kiến thức về cực trị để giải quyết các vấn đề trong các lĩnh vực khác nhau.
  • Phát triển tư duy sáng tạo: Các bài toán cực trị thường đòi hỏi học sinh phải suy nghĩ sáng tạo, tìm tòi các phương pháp giải mới và không ngừng cải thiện kỹ năng giải quyết vấn đề.

Kết luận:

Nhìn chung, tài liệu 40 trang tuyển tập bài toán cực trị thực tế là một nguồn tài liệu tham khảo hữu ích cho học sinh ôn thi tuyển sinh lớp 10 THPT. Tuy nhiên, để đánh giá đầy đủ và chính xác hơn, cần xem xét kỹ lưỡng về độ khó, phương pháp giải và tính cập nhật của nội dung. Nếu tài liệu đáp ứng được các tiêu chí này, nó sẽ là một công cụ hỗ trợ đắc lực giúp học sinh đạt kết quả tốt nhất trong kỳ thi quan trọng sắp tới.

Chinh phục các kỳ thi Toán lớp 9 quan trọng với nội dung chuyên đề các bài toán thực tế có liên quan đến cực trị ôn thi vào lớp 10 trong chuyên mục toán 9 sgk trên nền tảng môn toán! Bộ bài tập lý thuyết toán thcs, được biên soạn chuyên sâu, bám sát cấu trúc đề thi và chương trình sách giáo khoa hiện hành, cam kết tối ưu hóa toàn diện lộ trình ôn luyện. Qua đó, học sinh không chỉ củng cố vững chắc kiến thức mà còn thuần thục các dạng bài thi, tự tin đạt điểm cao, nhờ phương pháp tiếp cận trực quan, khoa học và mang lại hiệu quả học tập vượt trội.
images-post/chuyen-de-cac-bai-toan-thuc-te-co-lien-quan-den-cuc-tri-on-thi-vao-lop-10-01.jpgimages-post/chuyen-de-cac-bai-toan-thuc-te-co-lien-quan-den-cuc-tri-on-thi-vao-lop-10-02.jpgimages-post/chuyen-de-cac-bai-toan-thuc-te-co-lien-quan-den-cuc-tri-on-thi-vao-lop-10-03.jpgimages-post/chuyen-de-cac-bai-toan-thuc-te-co-lien-quan-den-cuc-tri-on-thi-vao-lop-10-04.jpgimages-post/chuyen-de-cac-bai-toan-thuc-te-co-lien-quan-den-cuc-tri-on-thi-vao-lop-10-05.jpgimages-post/chuyen-de-cac-bai-toan-thuc-te-co-lien-quan-den-cuc-tri-on-thi-vao-lop-10-06.jpgimages-post/chuyen-de-cac-bai-toan-thuc-te-co-lien-quan-den-cuc-tri-on-thi-vao-lop-10-07.jpgimages-post/chuyen-de-cac-bai-toan-thuc-te-co-lien-quan-den-cuc-tri-on-thi-vao-lop-10-08.jpgimages-post/chuyen-de-cac-bai-toan-thuc-te-co-lien-quan-den-cuc-tri-on-thi-vao-lop-10-09.jpgimages-post/chuyen-de-cac-bai-toan-thuc-te-co-lien-quan-den-cuc-tri-on-thi-vao-lop-10-10.jpg

File chuyên đề các bài toán thực tế có liên quan đến cực trị ôn thi vào lớp 10 PDF Chi Tiết