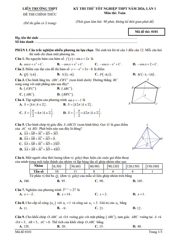
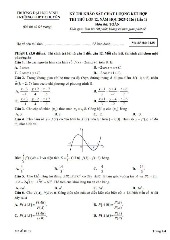
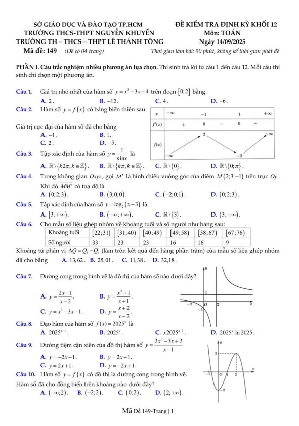
Logo Header
  1. Môn Toán
  2. Đề Thi Thử THPT Môn Toán

Đề Thi Thử THPT Môn Toán

Xem thêm nhiều hơn đáp án bài tập Đề Thi Thử THPT Môn Toán