Logo Header
  1. Môn Toán
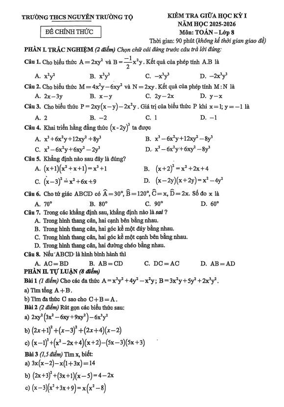
  2. Đề Thi Giữa HK1 Toán 8

Đề Thi Giữa HK1 Toán 8

Khám phá ngay nội dung Đề Thi Giữa HK1 Toán 8 trong chuyên mục toán 8 sgk trên nền tảng môn toán và tự tin chinh phục Toán lớp 8! Được biên soạn chuyên sâu và bám sát chặt chẽ chương trình sách giáo khoa hiện hành, bộ bài tập lý thuyết toán thcs cam kết tối ưu hóa toàn diện quá trình ôn luyện, giúp học sinh không chỉ củng cố vững chắc kiến thức nền tảng mà còn giải quyết thành thạo các dạng bài tập phức tạp, thông qua phương pháp tiếp cận trực quan, logic và mang lại hiệu quả học tập vượt trội.

Xem thêm nhiều hơn đáp án bài tập Đề Thi Giữa HK1 Toán 8