Logo Header
  1. Môn Toán
  2. chuyên đề số thập phân ôn thi học sinh giỏi toán 6

chuyên đề số thập phân ôn thi học sinh giỏi toán 6

Bạn đang xem tài liệu chuyên đề số thập phân ôn thi học sinh giỏi toán 6 được biên soạn theo toán math mới nhất. Tài liệu này hệ thống hóa kiến thức một cách khoa học, phù hợp cho mọi lộ trình học từ cơ bản đến nâng cao. Hãy khai thác triệt để nội dung để bứt phá điểm số và tự tin chinh phục mọi kỳ thi nhé!
Khởi động năm học lớp 6 đầy tự tin với nội dung chuyên đề số thập phân ôn thi học sinh giỏi toán 6 trong chuyên mục giải bài toán lớp 6 trên nền tảng toán math! Bộ bài tập toán trung học cơ sở được biên soạn chuyên sâu, cập nhật chính xác theo khung chương trình sách giáo khoa THCS, sẽ là người bạn đồng hành đáng tin cậy giúp các em tối ưu hóa toàn diện quá trình ôn luyện, xây dựng nền tảng kiến thức Toán vững chắc, thông qua phương pháp tiếp cận trực quan và mang lại hiệu quả vượt trội.
images-post/chuyen-de-so-thap-phan-on-thi-hoc-sinh-gioi-toan-6-01.jpgimages-post/chuyen-de-so-thap-phan-on-thi-hoc-sinh-gioi-toan-6-02.jpgimages-post/chuyen-de-so-thap-phan-on-thi-hoc-sinh-gioi-toan-6-03.jpgimages-post/chuyen-de-so-thap-phan-on-thi-hoc-sinh-gioi-toan-6-04.jpgimages-post/chuyen-de-so-thap-phan-on-thi-hoc-sinh-gioi-toan-6-05.jpgimages-post/chuyen-de-so-thap-phan-on-thi-hoc-sinh-gioi-toan-6-06.jpgimages-post/chuyen-de-so-thap-phan-on-thi-hoc-sinh-gioi-toan-6-07.jpgimages-post/chuyen-de-so-thap-phan-on-thi-hoc-sinh-gioi-toan-6-08.jpgimages-post/chuyen-de-so-thap-phan-on-thi-hoc-sinh-gioi-toan-6-09.jpgimages-post/chuyen-de-so-thap-phan-on-thi-hoc-sinh-gioi-toan-6-10.jpg

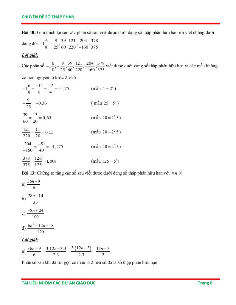
File chuyên đề số thập phân ôn thi học sinh giỏi toán 6 PDF Chi Tiết

TÌM KIẾM THEO TỪ KHÓA