Logo Header
  1. Môn Toán
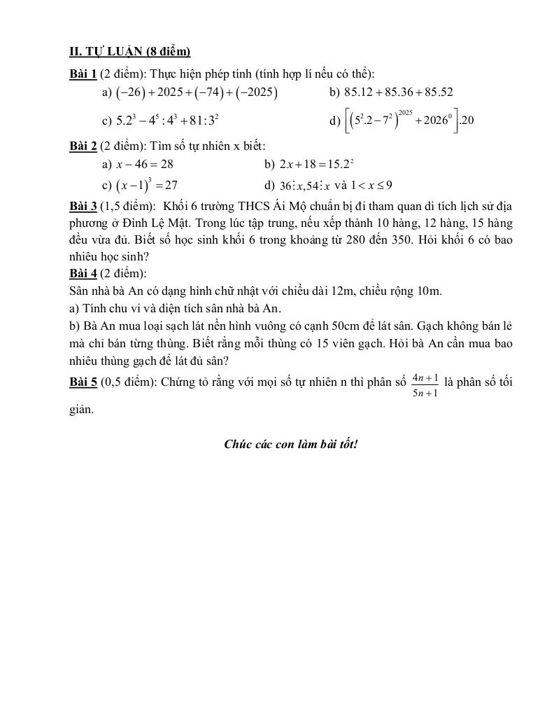
  2. đề cuối học kì 1 toán 6 năm 2025 – 2026 trường thcs ái mộ – hà nội

đề cuối học kì 1 toán 6 năm 2025 – 2026 trường thcs ái mộ – hà nội

Bạn đang xem tài liệu đề cuối học kì 1 toán 6 năm 2025 – 2026 trường thcs ái mộ – hà nội được biên soạn theo đề thi toán mới nhất. Tài liệu này hệ thống hóa kiến thức một cách khoa học, phù hợp cho mọi lộ trình học từ cơ bản đến nâng cao. Hãy khai thác triệt để nội dung để bứt phá điểm số và tự tin chinh phục mọi kỳ thi nhé!
Khởi động năm học lớp 6 đầy tự tin với nội dung đề cuối học kì 1 toán 6 năm 2025 – 2026 trường thcs ái mộ – hà nội trong chuyên mục giải sgk toán 6 trên nền tảng đề thi toán! Bộ bài tập lý thuyết toán thcs được biên soạn chuyên sâu, cập nhật chính xác theo khung chương trình sách giáo khoa THCS, sẽ là người bạn đồng hành đáng tin cậy giúp các em tối ưu hóa toàn diện quá trình ôn luyện, xây dựng nền tảng kiến thức Toán vững chắc, thông qua phương pháp tiếp cận trực quan và mang lại hiệu quả vượt trội.
images-post/de-cuoi-hoc-ki-1-toan-6-nam-2025-2026-truong-thcs-ai-mo-ha-noi-01.jpgimages-post/de-cuoi-hoc-ki-1-toan-6-nam-2025-2026-truong-thcs-ai-mo-ha-noi-02.jpgimages-post/de-cuoi-hoc-ki-1-toan-6-nam-2025-2026-truong-thcs-ai-mo-ha-noi-03.jpgimages-post/de-cuoi-hoc-ki-1-toan-6-nam-2025-2026-truong-thcs-ai-mo-ha-noi-04.jpgimages-post/de-cuoi-hoc-ki-1-toan-6-nam-2025-2026-truong-thcs-ai-mo-ha-noi-05.jpgimages-post/de-cuoi-hoc-ki-1-toan-6-nam-2025-2026-truong-thcs-ai-mo-ha-noi-06.jpgimages-post/de-cuoi-hoc-ki-1-toan-6-nam-2025-2026-truong-thcs-ai-mo-ha-noi-07.jpgimages-post/de-cuoi-hoc-ki-1-toan-6-nam-2025-2026-truong-thcs-ai-mo-ha-noi-08.jpgimages-post/de-cuoi-hoc-ki-1-toan-6-nam-2025-2026-truong-thcs-ai-mo-ha-noi-09.jpgimages-post/de-cuoi-hoc-ki-1-toan-6-nam-2025-2026-truong-thcs-ai-mo-ha-noi-10.jpg

File đề cuối học kì 1 toán 6 năm 2025 – 2026 trường thcs ái mộ – hà nội PDF Chi Tiết

TÌM KIẾM THEO TỪ KHÓA