Logo Header
  1. Môn Toán
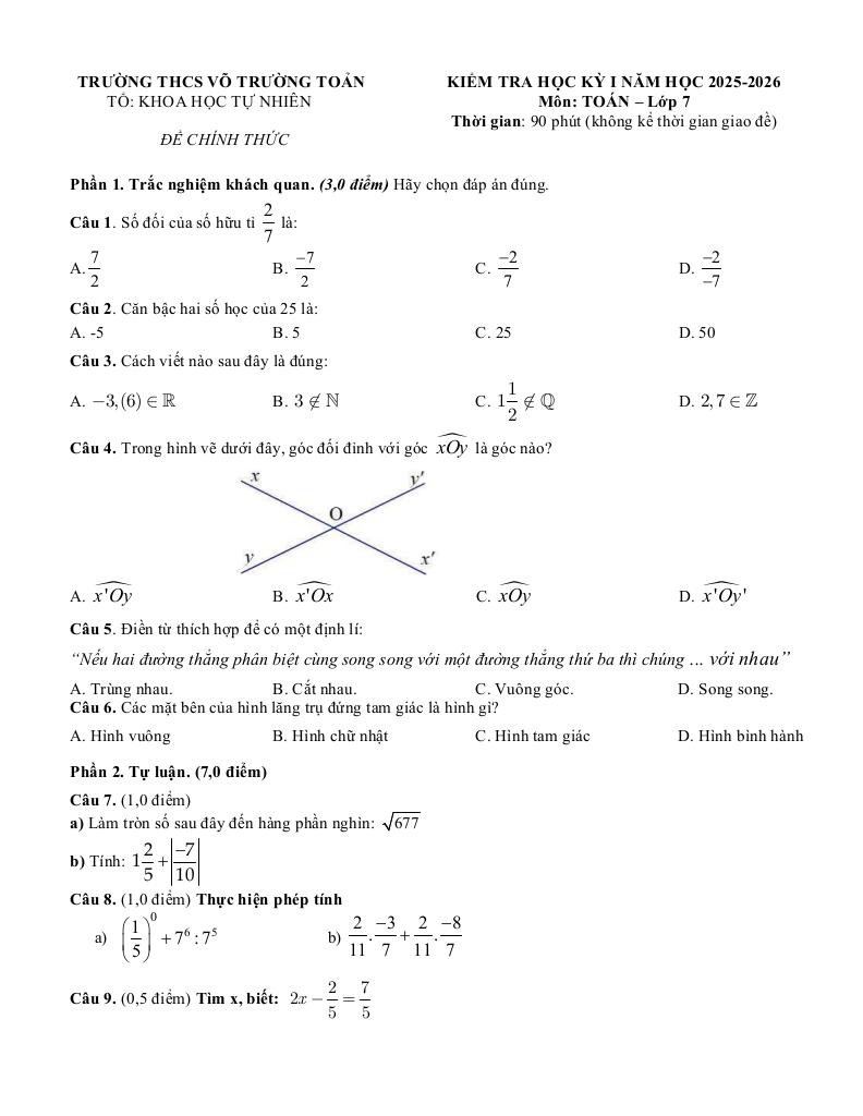
  2. đề cuối học kỳ 1 toán 7 năm 2025 – 2026 trường thcs võ trường toản – tp hcm

đề cuối học kỳ 1 toán 7 năm 2025 – 2026 trường thcs võ trường toản – tp hcm

Bạn đang xem tài liệu đề cuối học kỳ 1 toán 7 năm 2025 – 2026 trường thcs võ trường toản – tp hcm được biên soạn theo toán học mới nhất. Tài liệu này hệ thống hóa kiến thức một cách khoa học, phù hợp cho mọi lộ trình học từ cơ bản đến nâng cao. Hãy khai thác triệt để nội dung để bứt phá điểm số và tự tin chinh phục mọi kỳ thi nhé!
Khám phá ngay nội dung đề cuối học kỳ 1 toán 7 năm 2025 – 2026 trường thcs võ trường toản – tp hcm trong chuyên mục giải bài tập toán lớp 7 trên nền tảng toán học để làm chủ kiến thức Toán lớp 7! Được biên soạn chuyên sâu và bám sát chặt chẽ chương trình sách giáo khoa hiện hành, bộ bài tập lý thuyết toán thcs cam kết tối ưu hóa toàn diện quá trình ôn luyện, giúp học sinh không chỉ củng cố vững chắc kiến thức mà còn phát triển tư duy logic, thông qua phương pháp tiếp cận trực quan, sinh động và mang lại hiệu quả học tập vượt trội.
images-post/de-cuoi-hoc-ky-1-toan-7-nam-2025-2026-truong-thcs-vo-truong-toan-tp-hcm-1.jpgimages-post/de-cuoi-hoc-ky-1-toan-7-nam-2025-2026-truong-thcs-vo-truong-toan-tp-hcm-2.jpgimages-post/de-cuoi-hoc-ky-1-toan-7-nam-2025-2026-truong-thcs-vo-truong-toan-tp-hcm-3.jpgimages-post/de-cuoi-hoc-ky-1-toan-7-nam-2025-2026-truong-thcs-vo-truong-toan-tp-hcm-4.jpg

File đề cuối học kỳ 1 toán 7 năm 2025 – 2026 trường thcs võ trường toản – tp hcm PDF Chi Tiết

TÌM KIẾM THEO TỪ KHÓA