Logo Header
  1. Môn Toán
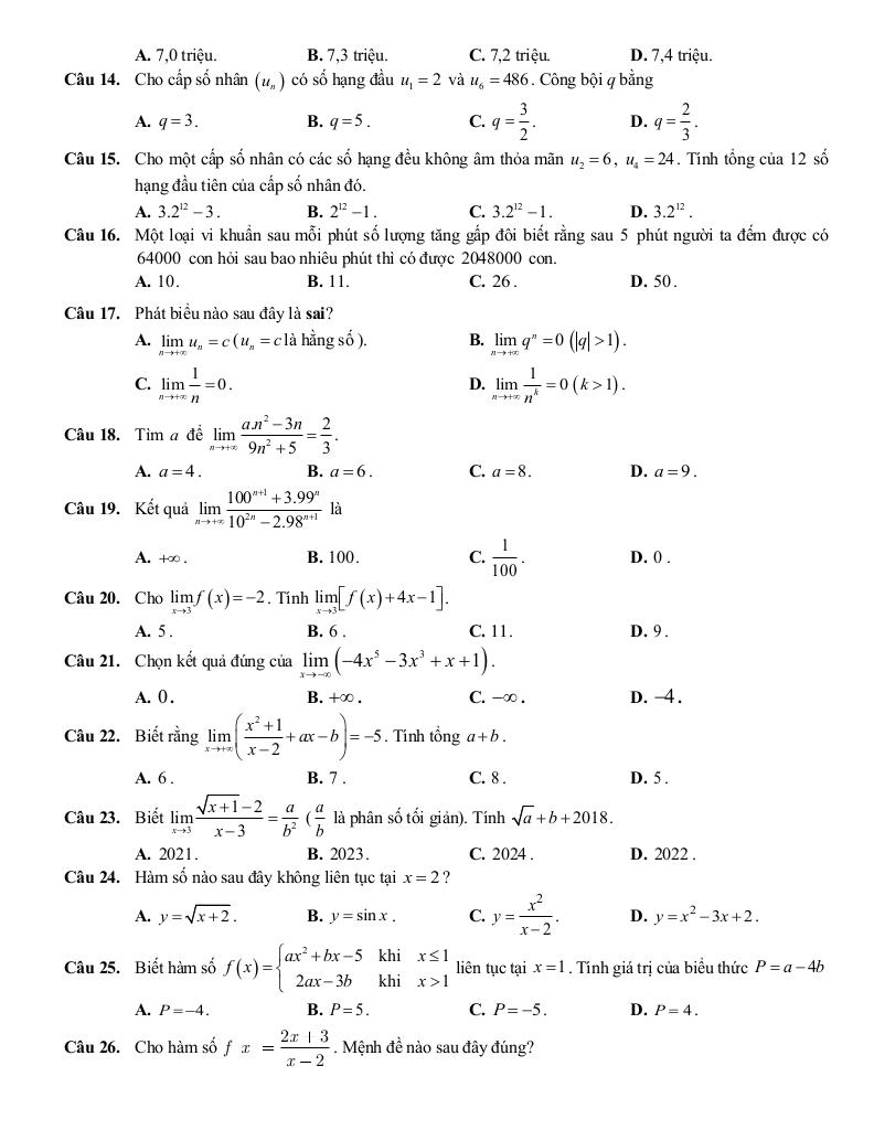
  2. đề cương cuối kỳ 1 toán 11 năm 2025 – 2026 trường thpt hoàng văn thụ – hà nội

đề cương cuối kỳ 1 toán 11 năm 2025 – 2026 trường thpt hoàng văn thụ – hà nội

Bạn đang xem tài liệu đề cương cuối kỳ 1 toán 11 năm 2025 – 2026 trường thpt hoàng văn thụ – hà nội được biên soạn theo toán học mới nhất. Tài liệu này hệ thống hóa kiến thức một cách khoa học, phù hợp cho mọi lộ trình học từ cơ bản đến nâng cao. Hãy khai thác triệt để nội dung để bứt phá điểm số và tự tin chinh phục mọi kỳ thi nhé!
Chinh phục đỉnh cao Toán 11 và đặt nền móng vững chắc cho cánh cửa Đại học với nội dung đề cương cuối kỳ 1 toán 11 năm 2025 – 2026 trường thpt hoàng văn thụ – hà nội trong chuyên mục Bài tập Toán lớp 11 trên nền tảng toán học! Bộ bài tập lý thuyết toán thpt, được biên soạn chuyên sâu, bám sát chặt chẽ chương trình Toán lớp 11 và định hướng các kỳ thi quan trọng, cam kết tối ưu hóa toàn diện quá trình ôn luyện. Qua đó, học sinh không chỉ làm chủ kiến thức phức tạp mà còn rèn luyện tư duy giải quyết vấn đề, sẵn sàng cho các kỳ thi và chương trình đại học, nhờ phương pháp tiếp cận trực quan, logic và mang lại hiệu quả học tập vượt trội.
images-post/de-cuong-cuoi-ky-1-toan-11-nam-2025-2026-truong-thpt-hoang-van-thu-ha-noi-01.jpgimages-post/de-cuong-cuoi-ky-1-toan-11-nam-2025-2026-truong-thpt-hoang-van-thu-ha-noi-02.jpgimages-post/de-cuong-cuoi-ky-1-toan-11-nam-2025-2026-truong-thpt-hoang-van-thu-ha-noi-03.jpgimages-post/de-cuong-cuoi-ky-1-toan-11-nam-2025-2026-truong-thpt-hoang-van-thu-ha-noi-04.jpgimages-post/de-cuong-cuoi-ky-1-toan-11-nam-2025-2026-truong-thpt-hoang-van-thu-ha-noi-05.jpgimages-post/de-cuong-cuoi-ky-1-toan-11-nam-2025-2026-truong-thpt-hoang-van-thu-ha-noi-06.jpgimages-post/de-cuong-cuoi-ky-1-toan-11-nam-2025-2026-truong-thpt-hoang-van-thu-ha-noi-07.jpgimages-post/de-cuong-cuoi-ky-1-toan-11-nam-2025-2026-truong-thpt-hoang-van-thu-ha-noi-08.jpgimages-post/de-cuong-cuoi-ky-1-toan-11-nam-2025-2026-truong-thpt-hoang-van-thu-ha-noi-09.jpgimages-post/de-cuong-cuoi-ky-1-toan-11-nam-2025-2026-truong-thpt-hoang-van-thu-ha-noi-10.jpg

File đề cương cuối kỳ 1 toán 11 năm 2025 – 2026 trường thpt hoàng văn thụ – hà nội PDF Chi Tiết

TÌM KIẾM THEO TỪ KHÓA