Logo Header
  1. Môn Toán
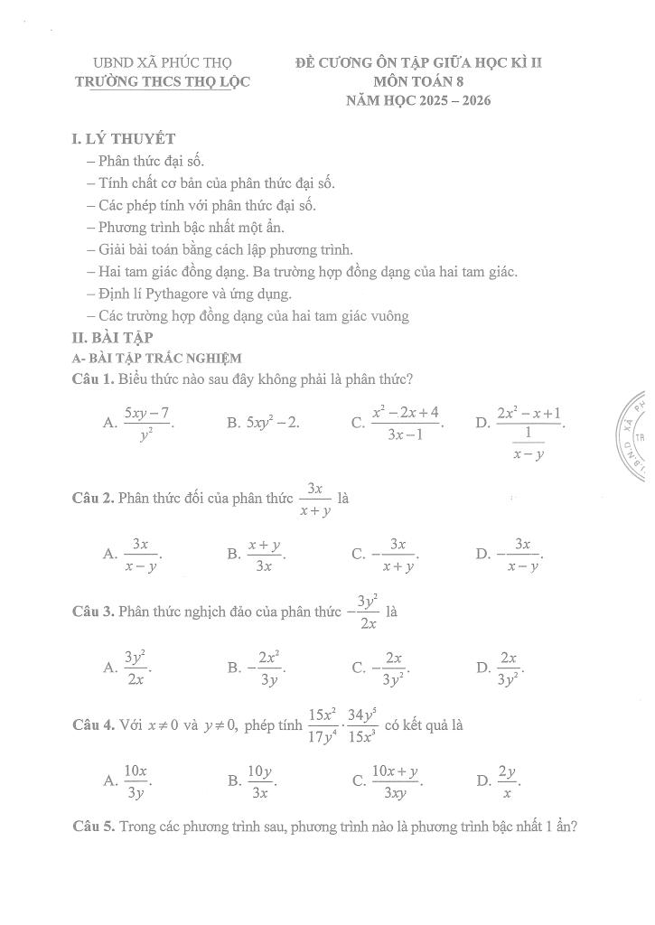
  2. đề cương giữa học kì 2 toán 8 năm 2025 – 2026 trường thcs thọ lộc – hà nội

đề cương giữa học kì 2 toán 8 năm 2025 – 2026 trường thcs thọ lộc – hà nội

Bạn đang xem tài liệu đề cương giữa học kì 2 toán 8 năm 2025 – 2026 trường thcs thọ lộc – hà nội được biên soạn theo toán mới nhất. Tài liệu này hệ thống hóa kiến thức một cách khoa học, phù hợp cho mọi lộ trình học từ cơ bản đến nâng cao. Hãy khai thác triệt để nội dung để bứt phá điểm số và tự tin chinh phục mọi kỳ thi nhé!
Khám phá ngay nội dung đề cương giữa học kì 2 toán 8 năm 2025 – 2026 trường thcs thọ lộc – hà nội trong chuyên mục giải sách giáo khoa toán 8 trên nền tảng toán và tự tin chinh phục Toán lớp 8! Được biên soạn chuyên sâu và bám sát chặt chẽ chương trình sách giáo khoa hiện hành, bộ bài tập toán trung học cơ sở cam kết tối ưu hóa toàn diện quá trình ôn luyện, giúp học sinh không chỉ củng cố vững chắc kiến thức nền tảng mà còn giải quyết thành thạo các dạng bài tập phức tạp, thông qua phương pháp tiếp cận trực quan, logic và mang lại hiệu quả học tập vượt trội.
images-post/de-cuong-giua-hoc-ki-2-toan-8-nam-2025-2026-truong-thcs-tho-loc-ha-noi-1.jpgimages-post/de-cuong-giua-hoc-ki-2-toan-8-nam-2025-2026-truong-thcs-tho-loc-ha-noi-2.jpgimages-post/de-cuong-giua-hoc-ki-2-toan-8-nam-2025-2026-truong-thcs-tho-loc-ha-noi-3.jpgimages-post/de-cuong-giua-hoc-ki-2-toan-8-nam-2025-2026-truong-thcs-tho-loc-ha-noi-4.jpgimages-post/de-cuong-giua-hoc-ki-2-toan-8-nam-2025-2026-truong-thcs-tho-loc-ha-noi-5.jpgimages-post/de-cuong-giua-hoc-ki-2-toan-8-nam-2025-2026-truong-thcs-tho-loc-ha-noi-6.jpg

File đề cương giữa học kì 2 toán 8 năm 2025 – 2026 trường thcs thọ lộc – hà nội PDF Chi Tiết

TÌM KIẾM THEO TỪ KHÓA