Logo Header
  1. Môn Toán
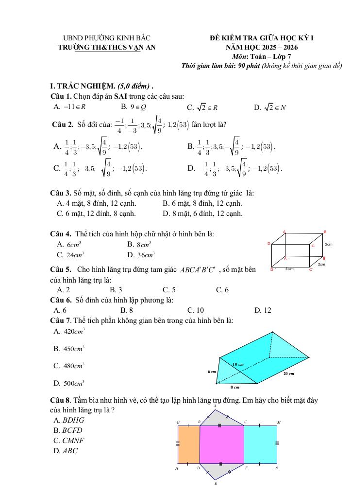
  2. đề giữa học kỳ 1 toán 7 năm 2025 – 2026 trường th&thcs vạn an – bắc ninh

đề giữa học kỳ 1 toán 7 năm 2025 – 2026 trường th&thcs vạn an – bắc ninh

Bạn đang xem tài liệu đề giữa học kỳ 1 toán 7 năm 2025 – 2026 trường th&thcs vạn an – bắc ninh được biên soạn theo tài liệu toán mới nhất. Tài liệu này hệ thống hóa kiến thức một cách khoa học, phù hợp cho mọi lộ trình học từ cơ bản đến nâng cao. Hãy khai thác triệt để nội dung để bứt phá điểm số và tự tin chinh phục mọi kỳ thi nhé!
Khám phá ngay nội dung đề giữa học kỳ 1 toán 7 năm 2025 – 2026 trường th&thcs vạn an – bắc ninh trong chuyên mục bài tập toán 7 trên nền tảng tài liệu toán để làm chủ kiến thức Toán lớp 7! Được biên soạn chuyên sâu và bám sát chặt chẽ chương trình sách giáo khoa hiện hành, bộ bài tập toán thcs cam kết tối ưu hóa toàn diện quá trình ôn luyện, giúp học sinh không chỉ củng cố vững chắc kiến thức mà còn phát triển tư duy logic, thông qua phương pháp tiếp cận trực quan, sinh động và mang lại hiệu quả học tập vượt trội.
images-post/de-giua-hoc-ky-1-toan-7-nam-2025-2026-truong-th-thcs-van-an-bac-ninh-1.jpgimages-post/de-giua-hoc-ky-1-toan-7-nam-2025-2026-truong-th-thcs-van-an-bac-ninh-2.jpgimages-post/de-giua-hoc-ky-1-toan-7-nam-2025-2026-truong-th-thcs-van-an-bac-ninh-3.jpgimages-post/de-giua-hoc-ky-1-toan-7-nam-2025-2026-truong-th-thcs-van-an-bac-ninh-4.jpgimages-post/de-giua-hoc-ky-1-toan-7-nam-2025-2026-truong-th-thcs-van-an-bac-ninh-5.jpgimages-post/de-giua-hoc-ky-1-toan-7-nam-2025-2026-truong-th-thcs-van-an-bac-ninh-6.jpgimages-post/de-giua-hoc-ky-1-toan-7-nam-2025-2026-truong-th-thcs-van-an-bac-ninh-7.jpgimages-post/de-giua-hoc-ky-1-toan-7-nam-2025-2026-truong-th-thcs-van-an-bac-ninh-8.jpgimages-post/de-giua-hoc-ky-1-toan-7-nam-2025-2026-truong-th-thcs-van-an-bac-ninh-9.jpg

File đề giữa học kỳ 1 toán 7 năm 2025 – 2026 trường th&thcs vạn an – bắc ninh PDF Chi Tiết

TÌM KIẾM THEO TỪ KHÓA