Logo Header
  1. Môn Toán
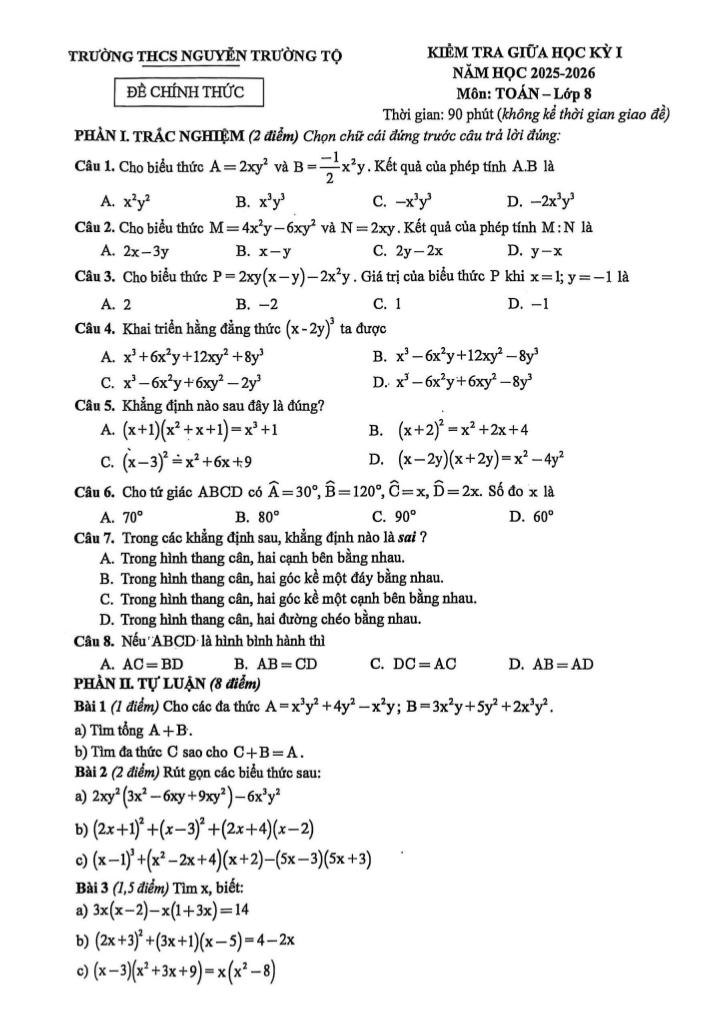
  2. đề giữa học kỳ 1 toán 8 năm 2025 – 2026 trường thcs nguyễn trường tộ – hà nội

đề giữa học kỳ 1 toán 8 năm 2025 – 2026 trường thcs nguyễn trường tộ – hà nội

Bạn đang xem tài liệu đề giữa học kỳ 1 toán 8 năm 2025 – 2026 trường thcs nguyễn trường tộ – hà nội được biên soạn theo tài liệu toán mới nhất. Tài liệu này hệ thống hóa kiến thức một cách khoa học, phù hợp cho mọi lộ trình học từ cơ bản đến nâng cao. Hãy khai thác triệt để nội dung để bứt phá điểm số và tự tin chinh phục mọi kỳ thi nhé!
Khám phá ngay nội dung đề giữa học kỳ 1 toán 8 năm 2025 – 2026 trường thcs nguyễn trường tộ – hà nội trong chuyên mục giải sách giáo khoa toán 8 trên nền tảng tài liệu toán và tự tin chinh phục Toán lớp 8! Được biên soạn chuyên sâu và bám sát chặt chẽ chương trình sách giáo khoa hiện hành, bộ bài tập toán thcs cam kết tối ưu hóa toàn diện quá trình ôn luyện, giúp học sinh không chỉ củng cố vững chắc kiến thức nền tảng mà còn giải quyết thành thạo các dạng bài tập phức tạp, thông qua phương pháp tiếp cận trực quan, logic và mang lại hiệu quả học tập vượt trội.
images-post/de-giua-hoc-ky-1-toan-8-nam-2025-2026-truong-thcs-nguyen-truong-to-ha-noi-1.jpgimages-post/de-giua-hoc-ky-1-toan-8-nam-2025-2026-truong-thcs-nguyen-truong-to-ha-noi-2.jpg

File đề giữa học kỳ 1 toán 8 năm 2025 – 2026 trường thcs nguyễn trường tộ – hà nội PDF Chi Tiết

TÌM KIẾM THEO TỪ KHÓA