Logo Header
  1. Môn Toán
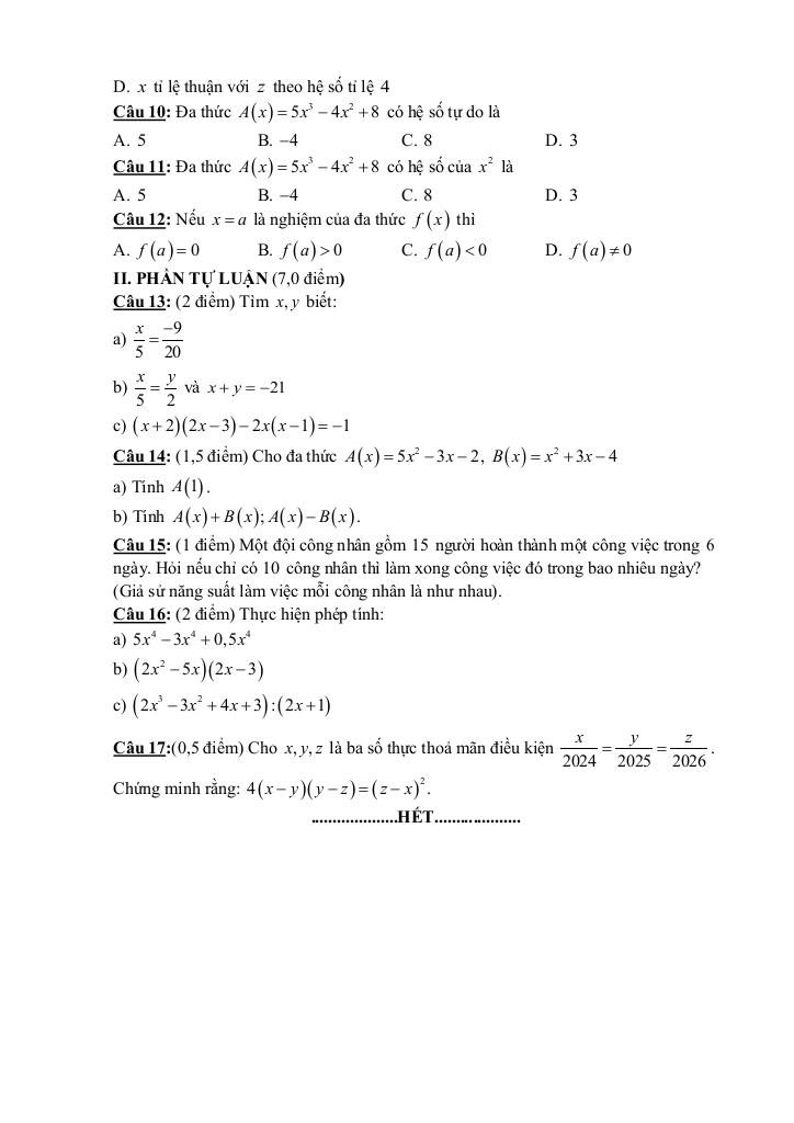
  2. đề giữa kì 2 toán 7 năm 2024 – 2025 trường thcs nguyễn công trứ – đà nẵng

đề giữa kì 2 toán 7 năm 2024 – 2025 trường thcs nguyễn công trứ – đà nẵng

Bạn đang xem tài liệu đề giữa kì 2 toán 7 năm 2024 – 2025 trường thcs nguyễn công trứ – đà nẵng được biên soạn theo toán học mới nhất. Tài liệu này hệ thống hóa kiến thức một cách khoa học, phù hợp cho mọi lộ trình học từ cơ bản đến nâng cao. Hãy khai thác triệt để nội dung để bứt phá điểm số và tự tin chinh phục mọi kỳ thi nhé!
Khám phá ngay nội dung đề giữa kì 2 toán 7 năm 2024 – 2025 trường thcs nguyễn công trứ – đà nẵng trong chuyên mục giải bài tập toán 7 trên nền tảng toán học để làm chủ kiến thức Toán lớp 7! Được biên soạn chuyên sâu và bám sát chặt chẽ chương trình sách giáo khoa hiện hành, bộ bài tập toán thcs cam kết tối ưu hóa toàn diện quá trình ôn luyện, giúp học sinh không chỉ củng cố vững chắc kiến thức mà còn phát triển tư duy logic, thông qua phương pháp tiếp cận trực quan, sinh động và mang lại hiệu quả học tập vượt trội.
images-post/de-giua-ki-2-toan-7-nam-2024-2025-truong-thcs-nguyen-cong-tru-da-nang-1.jpgimages-post/de-giua-ki-2-toan-7-nam-2024-2025-truong-thcs-nguyen-cong-tru-da-nang-2.jpgimages-post/de-giua-ki-2-toan-7-nam-2024-2025-truong-thcs-nguyen-cong-tru-da-nang-3.jpgimages-post/de-giua-ki-2-toan-7-nam-2024-2025-truong-thcs-nguyen-cong-tru-da-nang-4.jpgimages-post/de-giua-ki-2-toan-7-nam-2024-2025-truong-thcs-nguyen-cong-tru-da-nang-5.jpgimages-post/de-giua-ki-2-toan-7-nam-2024-2025-truong-thcs-nguyen-cong-tru-da-nang-6.jpgimages-post/de-giua-ki-2-toan-7-nam-2024-2025-truong-thcs-nguyen-cong-tru-da-nang-7.jpgimages-post/de-giua-ki-2-toan-7-nam-2024-2025-truong-thcs-nguyen-cong-tru-da-nang-8.jpg

File đề giữa kì 2 toán 7 năm 2024 – 2025 trường thcs nguyễn công trứ – đà nẵng PDF Chi Tiết

TÌM KIẾM THEO TỪ KHÓA