Logo Header
  1. Môn Toán
  2. đề giữa kỳ 1 toán 12 năm 2025 – 2026 trường thpt tôn thất tùng – đà nẵng

đề giữa kỳ 1 toán 12 năm 2025 – 2026 trường thpt tôn thất tùng – đà nẵng

Bạn đang xem tài liệu đề giữa kỳ 1 toán 12 năm 2025 – 2026 trường thpt tôn thất tùng – đà nẵng được biên soạn theo toán math mới nhất. Tài liệu này hệ thống hóa kiến thức một cách khoa học, phù hợp cho mọi lộ trình học từ cơ bản đến nâng cao. Hãy khai thác triệt để nội dung để bứt phá điểm số và tự tin chinh phục mọi kỳ thi nhé!
Chinh phục điểm cao Kỳ thi Tốt nghiệp THPT Quốc gia môn Toán, rộng mở cánh cửa Đại học với nội dung đề giữa kỳ 1 toán 12 năm 2025 – 2026 trường thpt tôn thất tùng – đà nẵng trong chuyên mục đề toán lớp 12 trên nền tảng toán math! Bộ bài tập lý thuyết toán thpt, được biên soạn chuyên sâu, bám sát cấu trúc đề thi và chương trình Toán 12, cam kết tối ưu hóa toàn diện lộ trình ôn luyện. Qua đó, học sinh không chỉ làm chủ mọi dạng bài thi mà còn trang bị chiến thuật làm bài hiệu quả, tự tin đạt kết quả đột phá, tạo nền tảng vững chắc cho Kỳ thi Tốt nghiệp THPT Quốc gia và hành trang vững vàng vào đại học, nhờ phương pháp tiếp cận trực quan, khoa học và mang lại hiệu quả học tập vượt trội.
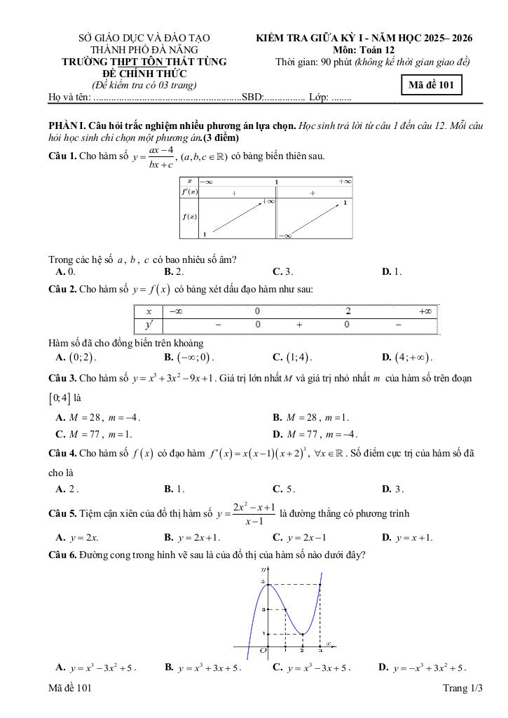
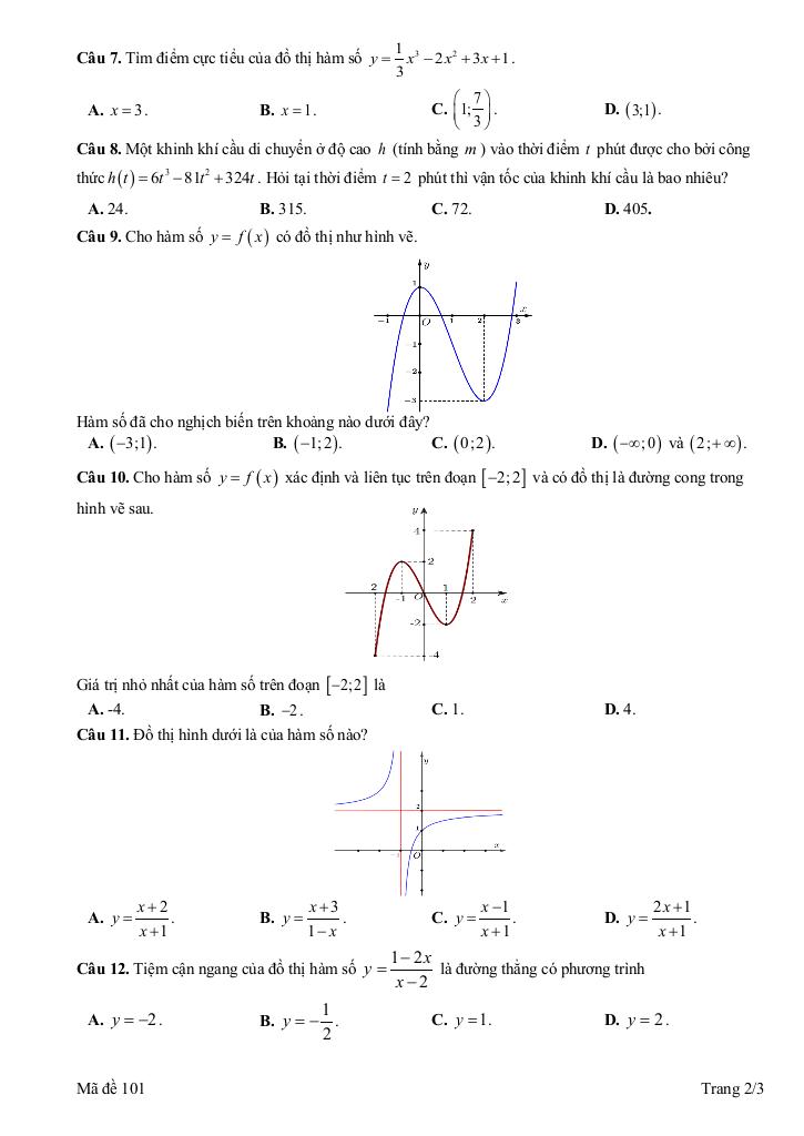
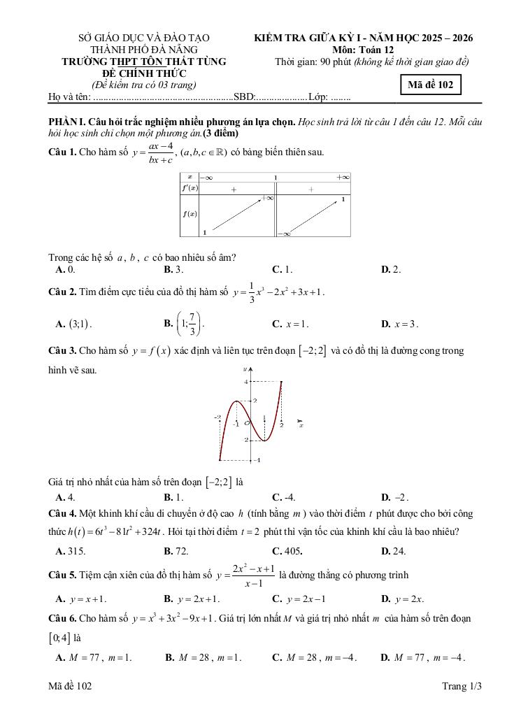
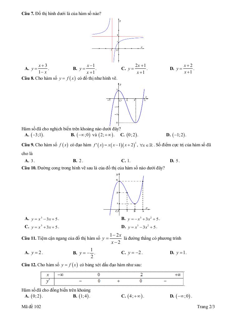
images-post/de-giua-ky-1-toan-12-nam-2025-2026-truong-thpt-ton-that-tung-da-nang-1.jpgimages-post/de-giua-ky-1-toan-12-nam-2025-2026-truong-thpt-ton-that-tung-da-nang-2.jpgimages-post/de-giua-ky-1-toan-12-nam-2025-2026-truong-thpt-ton-that-tung-da-nang-3.jpgimages-post/de-giua-ky-1-toan-12-nam-2025-2026-truong-thpt-ton-that-tung-da-nang-4.jpgimages-post/de-giua-ky-1-toan-12-nam-2025-2026-truong-thpt-ton-that-tung-da-nang-5.jpgimages-post/de-giua-ky-1-toan-12-nam-2025-2026-truong-thpt-ton-that-tung-da-nang-6.jpgimages-post/de-giua-ky-1-toan-12-nam-2025-2026-truong-thpt-ton-that-tung-da-nang-7.jpgimages-post/de-giua-ky-1-toan-12-nam-2025-2026-truong-thpt-ton-that-tung-da-nang-8.jpgimages-post/de-giua-ky-1-toan-12-nam-2025-2026-truong-thpt-ton-that-tung-da-nang-9.jpg

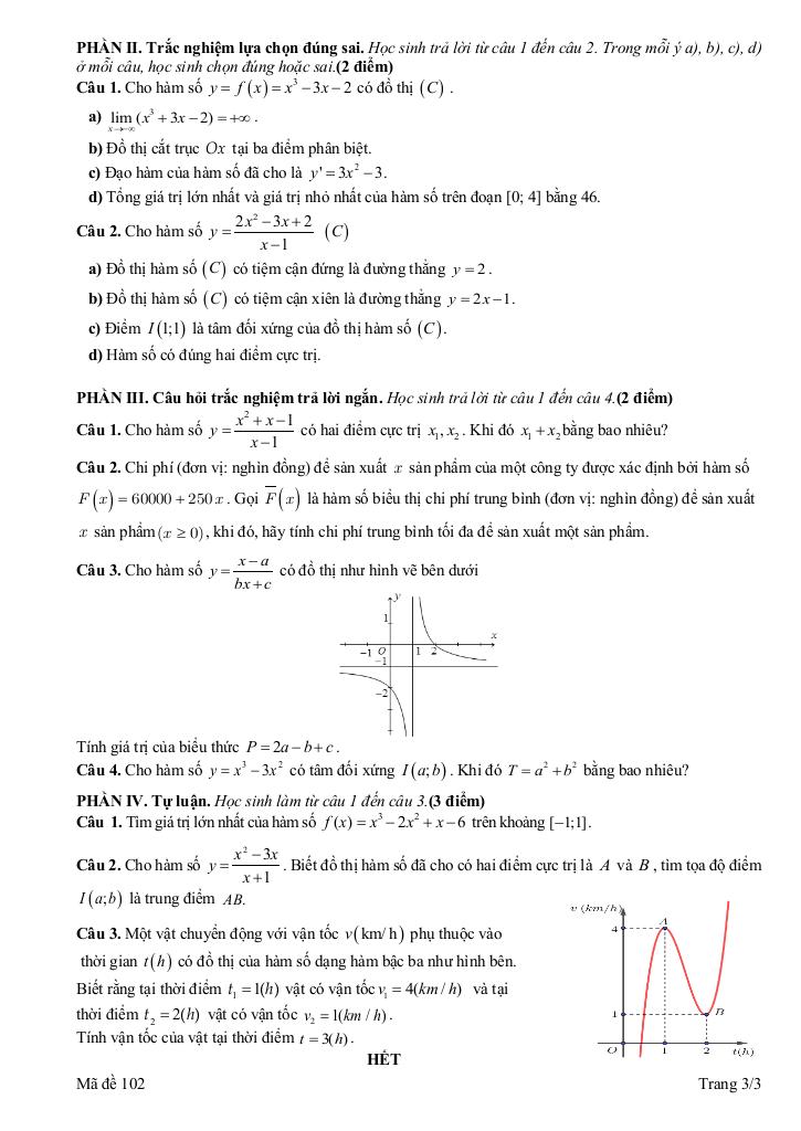
File đề giữa kỳ 1 toán 12 năm 2025 – 2026 trường thpt tôn thất tùng – đà nẵng PDF Chi Tiết

TÌM KIẾM THEO TỪ KHÓA