Logo Header
  1. Môn Toán
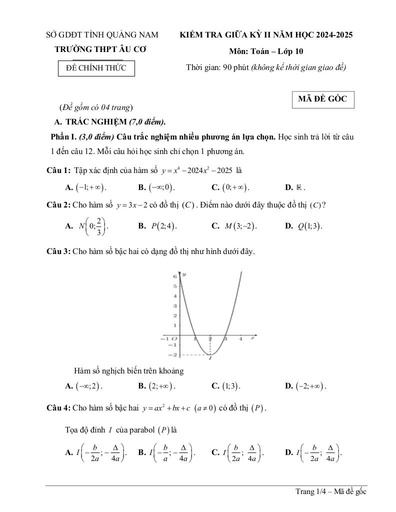
  2. đề giữa kỳ 2 toán 10 năm 2024 – 2025 trường thpt âu cơ – quảng nam

đề giữa kỳ 2 toán 10 năm 2024 – 2025 trường thpt âu cơ – quảng nam

Bạn đang xem tài liệu đề giữa kỳ 2 toán 10 năm 2024 – 2025 trường thpt âu cơ – quảng nam được biên soạn theo đề thi toán mới nhất. Tài liệu này hệ thống hóa kiến thức một cách khoa học, phù hợp cho mọi lộ trình học từ cơ bản đến nâng cao. Hãy khai thác triệt để nội dung để bứt phá điểm số và tự tin chinh phục mọi kỳ thi nhé!
Khởi đầu hành trình Toán THPT vững vàng với nội dung đề giữa kỳ 2 toán 10 năm 2024 – 2025 trường thpt âu cơ – quảng nam trong chuyên mục giải toán 10 trên nền tảng đề thi toán! Bộ bài tập lý thuyết toán thpt, được biên soạn chuyên sâu và bám sát chặt chẽ chương trình Toán lớp 10 hiện hành, cam kết tối ưu hóa toàn diện quá trình ôn luyện. Qua đó, học sinh không chỉ củng cố kiến thức cốt lõi mà còn xây dựng nền tảng vững chắc cho các năm học tiếp theo và định hướng đại học, nhờ phương pháp tiếp cận trực quan, logic và mang lại hiệu quả học tập vượt trội.
images-post/de-giua-ky-2-toan-10-nam-2024-2025-truong-thpt-au-co-quang-nam-01.jpgimages-post/de-giua-ky-2-toan-10-nam-2024-2025-truong-thpt-au-co-quang-nam-02.jpgimages-post/de-giua-ky-2-toan-10-nam-2024-2025-truong-thpt-au-co-quang-nam-03.jpgimages-post/de-giua-ky-2-toan-10-nam-2024-2025-truong-thpt-au-co-quang-nam-04.jpgimages-post/de-giua-ky-2-toan-10-nam-2024-2025-truong-thpt-au-co-quang-nam-05.jpgimages-post/de-giua-ky-2-toan-10-nam-2024-2025-truong-thpt-au-co-quang-nam-06.jpgimages-post/de-giua-ky-2-toan-10-nam-2024-2025-truong-thpt-au-co-quang-nam-07.jpgimages-post/de-giua-ky-2-toan-10-nam-2024-2025-truong-thpt-au-co-quang-nam-08.jpgimages-post/de-giua-ky-2-toan-10-nam-2024-2025-truong-thpt-au-co-quang-nam-09.jpgimages-post/de-giua-ky-2-toan-10-nam-2024-2025-truong-thpt-au-co-quang-nam-10.jpg

File đề giữa kỳ 2 toán 10 năm 2024 – 2025 trường thpt âu cơ – quảng nam PDF Chi Tiết