Logo Header
  1. Môn Toán
  2. đề khảo sát lần 1 toán 12 năm 2025 – 2026 cụm trường thpt qv1-tt1-lvt – bắc ninh

đề khảo sát lần 1 toán 12 năm 2025 – 2026 cụm trường thpt qv1-tt1-lvt – bắc ninh

Bạn đang xem tài liệu đề khảo sát lần 1 toán 12 năm 2025 – 2026 cụm trường thpt qv1-tt1-lvt – bắc ninh được biên soạn theo toán math mới nhất. Tài liệu này hệ thống hóa kiến thức một cách khoa học, phù hợp cho mọi lộ trình học từ cơ bản đến nâng cao. Hãy khai thác triệt để nội dung để bứt phá điểm số và tự tin chinh phục mọi kỳ thi nhé!

Xem thêm đáp án: đề khảo sát lần 1 toán 12 năm 2025 – 2026 cụm trường thpt qv1-tt1-lvt – bắc ninh

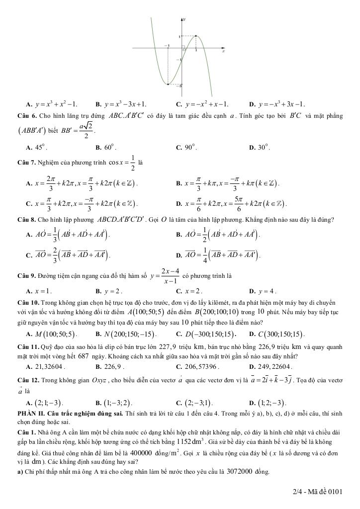
images-post/de-khao-sat-lan-1-toan-12-nam-2025-2026-cum-truong-thpt-qv1-tt1-lvt-bac-ninh-1.jpgimages-post/de-khao-sat-lan-1-toan-12-nam-2025-2026-cum-truong-thpt-qv1-tt1-lvt-bac-ninh-2.jpgimages-post/de-khao-sat-lan-1-toan-12-nam-2025-2026-cum-truong-thpt-qv1-tt1-lvt-bac-ninh-3.jpgimages-post/de-khao-sat-lan-1-toan-12-nam-2025-2026-cum-truong-thpt-qv1-tt1-lvt-bac-ninh-4.jpgimages-post/de-khao-sat-lan-1-toan-12-nam-2025-2026-cum-truong-thpt-qv1-tt1-lvt-bac-ninh-5.jpgimages-post/de-khao-sat-lan-1-toan-12-nam-2025-2026-cum-truong-thpt-qv1-tt1-lvt-bac-ninh-6.jpgimages-post/de-khao-sat-lan-1-toan-12-nam-2025-2026-cum-truong-thpt-qv1-tt1-lvt-bac-ninh-7.jpgimages-post/de-khao-sat-lan-1-toan-12-nam-2025-2026-cum-truong-thpt-qv1-tt1-lvt-bac-ninh-8.jpgimages-post/de-khao-sat-lan-1-toan-12-nam-2025-2026-cum-truong-thpt-qv1-tt1-lvt-bac-ninh-9.jpg

File đề khảo sát lần 1 toán 12 năm 2025 – 2026 cụm trường thpt qv1-tt1-lvt – bắc ninh PDF Chi Tiết