Logo Header
  1. Môn Toán
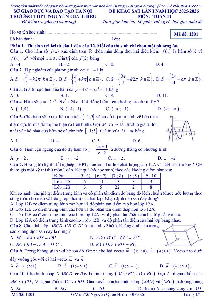
  2. đề khảo sát lần 1 toán 12 năm 2025 – 2026 trường thpt nguyễn gia thiều – hà nội

đề khảo sát lần 1 toán 12 năm 2025 – 2026 trường thpt nguyễn gia thiều – hà nội

Bạn đang xem tài liệu đề khảo sát lần 1 toán 12 năm 2025 – 2026 trường thpt nguyễn gia thiều – hà nội được biên soạn theo soạn toán mới nhất. Tài liệu này hệ thống hóa kiến thức một cách khoa học, phù hợp cho mọi lộ trình học từ cơ bản đến nâng cao. Hãy khai thác triệt để nội dung để bứt phá điểm số và tự tin chinh phục mọi kỳ thi nhé!

Xem thêm đáp án: đề khảo sát lần 1 toán 12 năm 2025 – 2026 trường thpt nguyễn gia thiều – hà nội

images-post/de-khao-sat-lan-1-toan-12-nam-2025-2026-truong-thpt-nguyen-gia-thieu-ha-noi-01.jpgimages-post/de-khao-sat-lan-1-toan-12-nam-2025-2026-truong-thpt-nguyen-gia-thieu-ha-noi-02.jpgimages-post/de-khao-sat-lan-1-toan-12-nam-2025-2026-truong-thpt-nguyen-gia-thieu-ha-noi-03.jpgimages-post/de-khao-sat-lan-1-toan-12-nam-2025-2026-truong-thpt-nguyen-gia-thieu-ha-noi-04.jpgimages-post/de-khao-sat-lan-1-toan-12-nam-2025-2026-truong-thpt-nguyen-gia-thieu-ha-noi-05.jpgimages-post/de-khao-sat-lan-1-toan-12-nam-2025-2026-truong-thpt-nguyen-gia-thieu-ha-noi-06.jpgimages-post/de-khao-sat-lan-1-toan-12-nam-2025-2026-truong-thpt-nguyen-gia-thieu-ha-noi-07.jpgimages-post/de-khao-sat-lan-1-toan-12-nam-2025-2026-truong-thpt-nguyen-gia-thieu-ha-noi-08.jpgimages-post/de-khao-sat-lan-1-toan-12-nam-2025-2026-truong-thpt-nguyen-gia-thieu-ha-noi-09.jpgimages-post/de-khao-sat-lan-1-toan-12-nam-2025-2026-truong-thpt-nguyen-gia-thieu-ha-noi-10.jpg

File đề khảo sát lần 1 toán 12 năm 2025 – 2026 trường thpt nguyễn gia thiều – hà nội PDF Chi Tiết