Logo Header
  1. Môn Toán
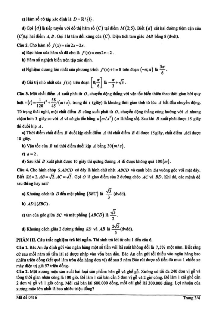
  2. đề khảo sát toán 12 năm 2025 – 2026 trường thpt trần nhân tông – hà nội

đề khảo sát toán 12 năm 2025 – 2026 trường thpt trần nhân tông – hà nội

Bạn đang xem tài liệu đề khảo sát toán 12 năm 2025 – 2026 trường thpt trần nhân tông – hà nội được biên soạn theo toán mới nhất. Tài liệu này hệ thống hóa kiến thức một cách khoa học, phù hợp cho mọi lộ trình học từ cơ bản đến nâng cao. Hãy khai thác triệt để nội dung để bứt phá điểm số và tự tin chinh phục mọi kỳ thi nhé!

Xem thêm đáp án: đề khảo sát toán 12 năm 2025 – 2026 trường thpt trần nhân tông – hà nội

images-post/de-khao-sat-toan-12-nam-2025-2026-truong-thpt-tran-nhan-tong-ha-noi-1.jpgimages-post/de-khao-sat-toan-12-nam-2025-2026-truong-thpt-tran-nhan-tong-ha-noi-2.jpgimages-post/de-khao-sat-toan-12-nam-2025-2026-truong-thpt-tran-nhan-tong-ha-noi-3.jpgimages-post/de-khao-sat-toan-12-nam-2025-2026-truong-thpt-tran-nhan-tong-ha-noi-4.jpg

File đề khảo sát toán 12 năm 2025 – 2026 trường thpt trần nhân tông – hà nội PDF Chi Tiết