Logo Header
  1. Môn Toán
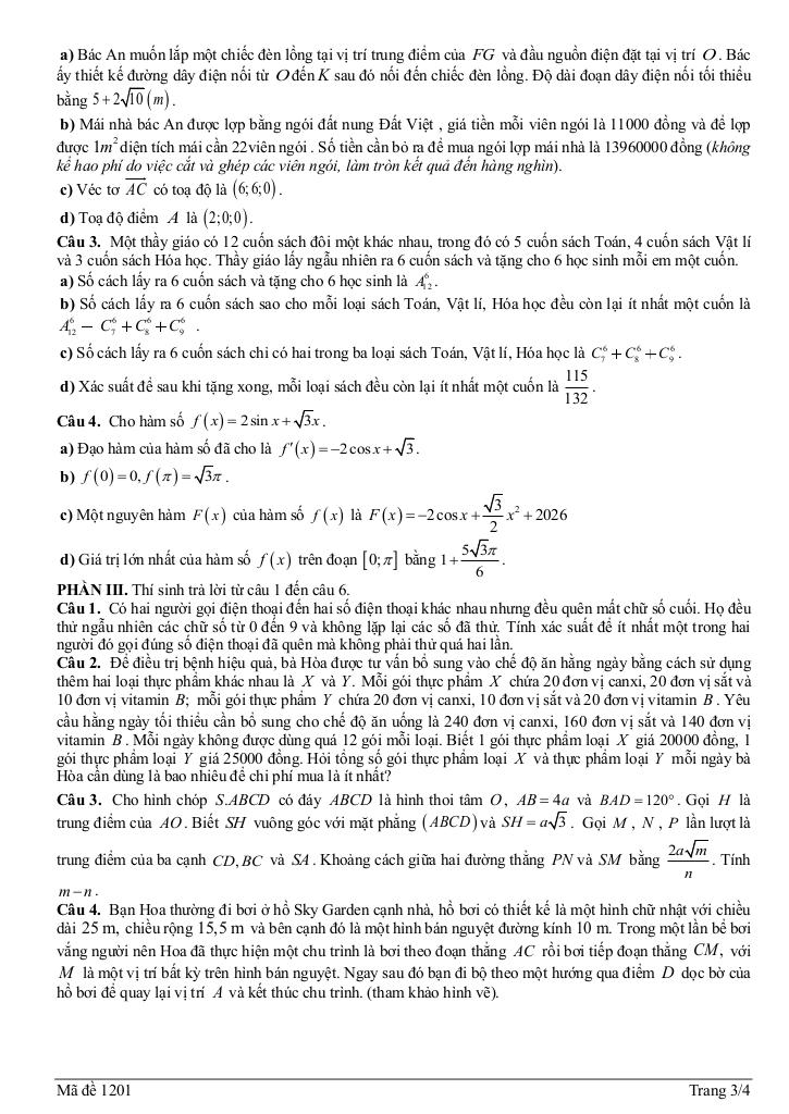
  2. đề kscl toán 12 thi tn thpt 2026 lần 1 trường thpt nguyễn quán nho – thanh hóa

đề kscl toán 12 thi tn thpt 2026 lần 1 trường thpt nguyễn quán nho – thanh hóa

Bạn đang xem tài liệu đề kscl toán 12 thi tn thpt 2026 lần 1 trường thpt nguyễn quán nho – thanh hóa được biên soạn theo tài liệu toán mới nhất. Tài liệu này hệ thống hóa kiến thức một cách khoa học, phù hợp cho mọi lộ trình học từ cơ bản đến nâng cao. Hãy khai thác triệt để nội dung để bứt phá điểm số và tự tin chinh phục mọi kỳ thi nhé!

Xem thêm đáp án: đề kscl toán 12 thi tn thpt 2026 lần 1 trường thpt nguyễn quán nho – thanh hóa

images-post/de-kscl-toan-12-thi-tn-thpt-2026-lan-1-truong-thpt-nguyen-quan-nho-thanh-hoa-01.jpgimages-post/de-kscl-toan-12-thi-tn-thpt-2026-lan-1-truong-thpt-nguyen-quan-nho-thanh-hoa-02.jpgimages-post/de-kscl-toan-12-thi-tn-thpt-2026-lan-1-truong-thpt-nguyen-quan-nho-thanh-hoa-03.jpgimages-post/de-kscl-toan-12-thi-tn-thpt-2026-lan-1-truong-thpt-nguyen-quan-nho-thanh-hoa-04.jpgimages-post/de-kscl-toan-12-thi-tn-thpt-2026-lan-1-truong-thpt-nguyen-quan-nho-thanh-hoa-05.jpgimages-post/de-kscl-toan-12-thi-tn-thpt-2026-lan-1-truong-thpt-nguyen-quan-nho-thanh-hoa-06.jpgimages-post/de-kscl-toan-12-thi-tn-thpt-2026-lan-1-truong-thpt-nguyen-quan-nho-thanh-hoa-07.jpgimages-post/de-kscl-toan-12-thi-tn-thpt-2026-lan-1-truong-thpt-nguyen-quan-nho-thanh-hoa-08.jpgimages-post/de-kscl-toan-12-thi-tn-thpt-2026-lan-1-truong-thpt-nguyen-quan-nho-thanh-hoa-09.jpgimages-post/de-kscl-toan-12-thi-tn-thpt-2026-lan-1-truong-thpt-nguyen-quan-nho-thanh-hoa-10.jpg

File đề kscl toán 12 thi tn thpt 2026 lần 1 trường thpt nguyễn quán nho – thanh hóa PDF Chi Tiết