Logo Header
  1. Môn Toán
  2. đề minh họa tuyển sinh lớp 10 môn toán năm 2026 – 2027 sở gd&đt đồng tháp

đề minh họa tuyển sinh lớp 10 môn toán năm 2026 – 2027 sở gd&đt đồng tháp

Bạn đang xem tài liệu đề minh họa tuyển sinh lớp 10 môn toán năm 2026 – 2027 sở gd&đt đồng tháp được biên soạn theo toán học mới nhất. Tài liệu này hệ thống hóa kiến thức một cách khoa học, phù hợp cho mọi lộ trình học từ cơ bản đến nâng cao. Hãy khai thác triệt để nội dung để bứt phá điểm số và tự tin chinh phục mọi kỳ thi nhé!
Chinh phục các kỳ thi Toán lớp 9 quan trọng với nội dung đề minh họa tuyển sinh lớp 10 môn toán năm 2026 – 2027 sở gd&đt đồng tháp trong chuyên mục giải toán 9 trên nền tảng toán học! Bộ bài tập lý thuyết toán thcs, được biên soạn chuyên sâu, bám sát cấu trúc đề thi và chương trình sách giáo khoa hiện hành, cam kết tối ưu hóa toàn diện lộ trình ôn luyện. Qua đó, học sinh không chỉ củng cố vững chắc kiến thức mà còn thuần thục các dạng bài thi, tự tin đạt điểm cao, nhờ phương pháp tiếp cận trực quan, khoa học và mang lại hiệu quả học tập vượt trội.
images-post/de-minh-hoa-tuyen-sinh-lop-10-mon-toan-nam-2026-2027-so-gd-dt-dong-thap-01.jpgimages-post/de-minh-hoa-tuyen-sinh-lop-10-mon-toan-nam-2026-2027-so-gd-dt-dong-thap-02.jpgimages-post/de-minh-hoa-tuyen-sinh-lop-10-mon-toan-nam-2026-2027-so-gd-dt-dong-thap-03.jpgimages-post/de-minh-hoa-tuyen-sinh-lop-10-mon-toan-nam-2026-2027-so-gd-dt-dong-thap-04.jpgimages-post/de-minh-hoa-tuyen-sinh-lop-10-mon-toan-nam-2026-2027-so-gd-dt-dong-thap-05.jpgimages-post/de-minh-hoa-tuyen-sinh-lop-10-mon-toan-nam-2026-2027-so-gd-dt-dong-thap-06.jpgimages-post/de-minh-hoa-tuyen-sinh-lop-10-mon-toan-nam-2026-2027-so-gd-dt-dong-thap-07.jpgimages-post/de-minh-hoa-tuyen-sinh-lop-10-mon-toan-nam-2026-2027-so-gd-dt-dong-thap-08.jpgimages-post/de-minh-hoa-tuyen-sinh-lop-10-mon-toan-nam-2026-2027-so-gd-dt-dong-thap-09.jpgimages-post/de-minh-hoa-tuyen-sinh-lop-10-mon-toan-nam-2026-2027-so-gd-dt-dong-thap-10.jpg

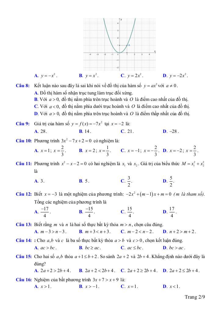
File đề minh họa tuyển sinh lớp 10 môn toán năm 2026 – 2027 sở gd&đt đồng tháp PDF Chi Tiết