Logo Header
  1. Môn Toán
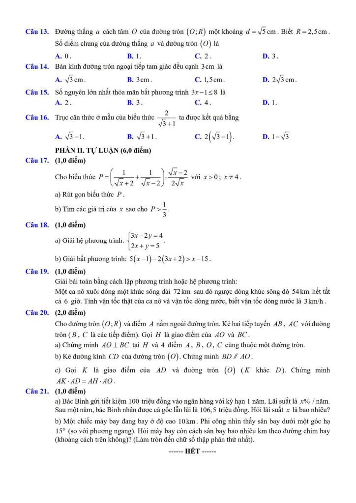
  2. đề ôn luyện cuối kì 1 toán 9 năm 2025 – 2026 trường th&thcs lâm thao – bắc ninh

đề ôn luyện cuối kì 1 toán 9 năm 2025 – 2026 trường th&thcs lâm thao – bắc ninh

Bạn đang xem tài liệu đề ôn luyện cuối kì 1 toán 9 năm 2025 – 2026 trường th&thcs lâm thao – bắc ninh được biên soạn theo toán math mới nhất. Tài liệu này hệ thống hóa kiến thức một cách khoa học, phù hợp cho mọi lộ trình học từ cơ bản đến nâng cao. Hãy khai thác triệt để nội dung để bứt phá điểm số và tự tin chinh phục mọi kỳ thi nhé!
Chinh phục các kỳ thi Toán lớp 9 quan trọng với nội dung đề ôn luyện cuối kì 1 toán 9 năm 2025 – 2026 trường th&thcs lâm thao – bắc ninh trong chuyên mục giải bài tập toán 9 trên nền tảng toán math! Bộ bài tập toán trung học cơ sở, được biên soạn chuyên sâu, bám sát cấu trúc đề thi và chương trình sách giáo khoa hiện hành, cam kết tối ưu hóa toàn diện lộ trình ôn luyện. Qua đó, học sinh không chỉ củng cố vững chắc kiến thức mà còn thuần thục các dạng bài thi, tự tin đạt điểm cao, nhờ phương pháp tiếp cận trực quan, khoa học và mang lại hiệu quả học tập vượt trội.
images-post/de-on-luyen-cuoi-ki-1-toan-9-nam-2025-2026-truong-th-thcs-lam-thao-bac-ninh-01.jpgimages-post/de-on-luyen-cuoi-ki-1-toan-9-nam-2025-2026-truong-th-thcs-lam-thao-bac-ninh-02.jpgimages-post/de-on-luyen-cuoi-ki-1-toan-9-nam-2025-2026-truong-th-thcs-lam-thao-bac-ninh-03.jpgimages-post/de-on-luyen-cuoi-ki-1-toan-9-nam-2025-2026-truong-th-thcs-lam-thao-bac-ninh-04.jpgimages-post/de-on-luyen-cuoi-ki-1-toan-9-nam-2025-2026-truong-th-thcs-lam-thao-bac-ninh-05.jpgimages-post/de-on-luyen-cuoi-ki-1-toan-9-nam-2025-2026-truong-th-thcs-lam-thao-bac-ninh-06.jpgimages-post/de-on-luyen-cuoi-ki-1-toan-9-nam-2025-2026-truong-th-thcs-lam-thao-bac-ninh-07.jpgimages-post/de-on-luyen-cuoi-ki-1-toan-9-nam-2025-2026-truong-th-thcs-lam-thao-bac-ninh-08.jpgimages-post/de-on-luyen-cuoi-ki-1-toan-9-nam-2025-2026-truong-th-thcs-lam-thao-bac-ninh-09.jpgimages-post/de-on-luyen-cuoi-ki-1-toan-9-nam-2025-2026-truong-th-thcs-lam-thao-bac-ninh-10.jpg

File đề ôn luyện cuối kì 1 toán 9 năm 2025 – 2026 trường th&thcs lâm thao – bắc ninh PDF Chi Tiết