Logo Header
  1. Môn Toán
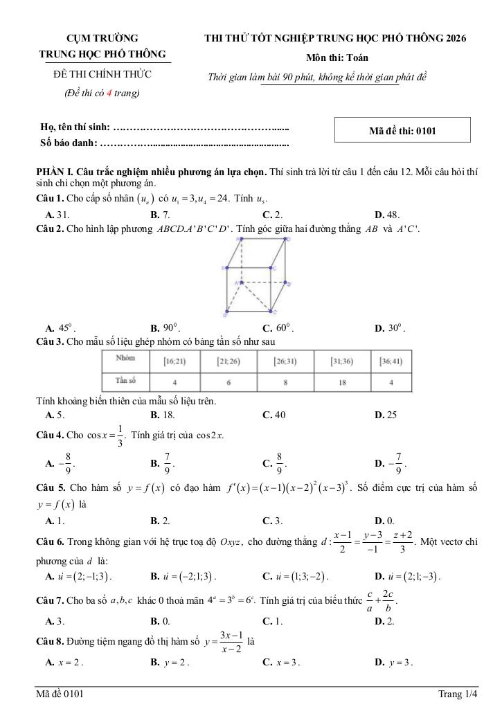
  2. đề thi thử tn thpt 2026 môn toán lần 2 trường chuyên phan bội châu – nghệ an

đề thi thử tn thpt 2026 môn toán lần 2 trường chuyên phan bội châu – nghệ an

Bạn đang xem tài liệu đề thi thử tn thpt 2026 môn toán lần 2 trường chuyên phan bội châu – nghệ an được biên soạn theo tài liệu toán mới nhất. Tài liệu này hệ thống hóa kiến thức một cách khoa học, phù hợp cho mọi lộ trình học từ cơ bản đến nâng cao. Hãy khai thác triệt để nội dung để bứt phá điểm số và tự tin chinh phục mọi kỳ thi nhé!

Xem thêm đáp án: đề thi thử tn thpt 2026 môn toán lần 2 trường chuyên phan bội châu – nghệ an

images-post/de-thi-thu-tn-thpt-2026-mon-toan-lan-2-truong-chuyen-phan-boi-chau-nghe-an-01.jpgimages-post/de-thi-thu-tn-thpt-2026-mon-toan-lan-2-truong-chuyen-phan-boi-chau-nghe-an-02.jpgimages-post/de-thi-thu-tn-thpt-2026-mon-toan-lan-2-truong-chuyen-phan-boi-chau-nghe-an-03.jpgimages-post/de-thi-thu-tn-thpt-2026-mon-toan-lan-2-truong-chuyen-phan-boi-chau-nghe-an-04.jpgimages-post/de-thi-thu-tn-thpt-2026-mon-toan-lan-2-truong-chuyen-phan-boi-chau-nghe-an-05.jpgimages-post/de-thi-thu-tn-thpt-2026-mon-toan-lan-2-truong-chuyen-phan-boi-chau-nghe-an-06.jpgimages-post/de-thi-thu-tn-thpt-2026-mon-toan-lan-2-truong-chuyen-phan-boi-chau-nghe-an-07.jpgimages-post/de-thi-thu-tn-thpt-2026-mon-toan-lan-2-truong-chuyen-phan-boi-chau-nghe-an-08.jpgimages-post/de-thi-thu-tn-thpt-2026-mon-toan-lan-2-truong-chuyen-phan-boi-chau-nghe-an-09.jpgimages-post/de-thi-thu-tn-thpt-2026-mon-toan-lan-2-truong-chuyen-phan-boi-chau-nghe-an-10.jpg

File đề thi thử tn thpt 2026 môn toán lần 2 trường chuyên phan bội châu – nghệ an PDF Chi Tiết