Logo Header
  1. Môn Toán
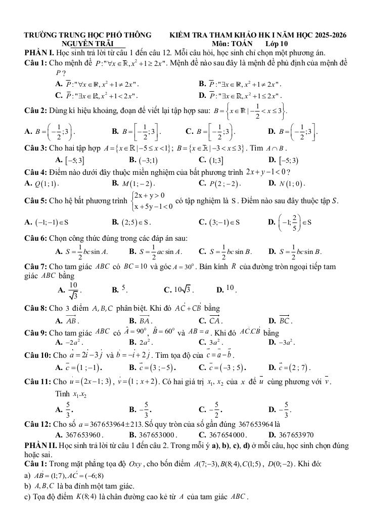
  2. ôn tập cuối kì 1 toán 10 năm 2025 – 2026 trường thpt nguyễn trãi – đà nẵng

ôn tập cuối kì 1 toán 10 năm 2025 – 2026 trường thpt nguyễn trãi – đà nẵng

Bạn đang xem tài liệu ôn tập cuối kì 1 toán 10 năm 2025 – 2026 trường thpt nguyễn trãi – đà nẵng được biên soạn theo môn toán mới nhất. Tài liệu này hệ thống hóa kiến thức một cách khoa học, phù hợp cho mọi lộ trình học từ cơ bản đến nâng cao. Hãy khai thác triệt để nội dung để bứt phá điểm số và tự tin chinh phục mọi kỳ thi nhé!
Khởi đầu hành trình Toán THPT vững vàng với nội dung ôn tập cuối kì 1 toán 10 năm 2025 – 2026 trường thpt nguyễn trãi – đà nẵng trong chuyên mục học toán 10 trên nền tảng môn toán! Bộ bài tập toán trung học phổ thông, được biên soạn chuyên sâu và bám sát chặt chẽ chương trình Toán lớp 10 hiện hành, cam kết tối ưu hóa toàn diện quá trình ôn luyện. Qua đó, học sinh không chỉ củng cố kiến thức cốt lõi mà còn xây dựng nền tảng vững chắc cho các năm học tiếp theo và định hướng đại học, nhờ phương pháp tiếp cận trực quan, logic và mang lại hiệu quả học tập vượt trội.
images-post/on-tap-cuoi-ki-1-toan-10-nam-2025-2026-truong-thpt-nguyen-trai-da-nang-01.jpgimages-post/on-tap-cuoi-ki-1-toan-10-nam-2025-2026-truong-thpt-nguyen-trai-da-nang-02.jpgimages-post/on-tap-cuoi-ki-1-toan-10-nam-2025-2026-truong-thpt-nguyen-trai-da-nang-03.jpgimages-post/on-tap-cuoi-ki-1-toan-10-nam-2025-2026-truong-thpt-nguyen-trai-da-nang-04.jpgimages-post/on-tap-cuoi-ki-1-toan-10-nam-2025-2026-truong-thpt-nguyen-trai-da-nang-05.jpgimages-post/on-tap-cuoi-ki-1-toan-10-nam-2025-2026-truong-thpt-nguyen-trai-da-nang-06.jpgimages-post/on-tap-cuoi-ki-1-toan-10-nam-2025-2026-truong-thpt-nguyen-trai-da-nang-07.jpgimages-post/on-tap-cuoi-ki-1-toan-10-nam-2025-2026-truong-thpt-nguyen-trai-da-nang-08.jpgimages-post/on-tap-cuoi-ki-1-toan-10-nam-2025-2026-truong-thpt-nguyen-trai-da-nang-09.jpgimages-post/on-tap-cuoi-ki-1-toan-10-nam-2025-2026-truong-thpt-nguyen-trai-da-nang-10.jpg

File ôn tập cuối kì 1 toán 10 năm 2025 – 2026 trường thpt nguyễn trãi – đà nẵng PDF Chi Tiết

TÌM KIẾM THEO TỪ KHÓA