Logo Header
  1. Môn Toán
  2. ôn tập cuối kì 2 toán 6 năm 2024 – 2025 trường thcs ngọc lâm – hà nội

ôn tập cuối kì 2 toán 6 năm 2024 – 2025 trường thcs ngọc lâm – hà nội

Bạn đang xem tài liệu ôn tập cuối kì 2 toán 6 năm 2024 – 2025 trường thcs ngọc lâm – hà nội được biên soạn theo toán mới nhất. Tài liệu này hệ thống hóa kiến thức một cách khoa học, phù hợp cho mọi lộ trình học từ cơ bản đến nâng cao. Hãy khai thác triệt để nội dung để bứt phá điểm số và tự tin chinh phục mọi kỳ thi nhé!

giaibaitoan.com xin trân trọng giới thiệu đến quý thầy cô giáo và các em học sinh lớp 6 đề cương ôn tập cuối học kỳ II môn Toán 6 năm học 2024 – 2025 của trường THCS Ngọc Lâm, quận Long Biên, thành phố Hà Nội. Đề cương này là tài liệu tham khảo hữu ích, giúp học sinh hệ thống lại kiến thức đã học và chuẩn bị tốt nhất cho kỳ kiểm tra sắp tới.

I. PHẦN 1: NỘI DUNG KIẾN THỨC TRỌNG TÂM

Phạm vi kiến thức ôn tập bao gồm các nội dung đã được giảng dạy từ tuần 19 đến tuần 30. Đề cương được chia thành hai phần chính: Số học và Hình học, với các chủ đề cụ thể như sau:

A. Số học

  1. Một số yếu tố thống kê và xác suất: Đây là phần kiến thức mở đầu, giúp học sinh làm quen với việc thu thập, biểu diễn và phân tích dữ liệu đơn giản, cũng như hiểu các khái niệm cơ bản về xác suất trong các tình huống thực tế.
  2. Phân số: Bao gồm các kiến thức về phân số với tử và mẫu là số nguyên, cách so sánh phân số, và khái niệm hỗn số dương. Việc nắm vững kiến thức này là nền tảng cho các phép toán với phân số.
  3. Các phép toán với phân số: Học sinh cần ôn tập kỹ lưỡng các quy tắc và kỹ năng thực hiện phép cộng, trừ, nhân, chia phân số. Đây là phần kiến thức quan trọng, thường xuyên xuất hiện trong các bài kiểm tra.
  4. Số thập phân: Ôn lại khái niệm số thập phân, cách đọc, viết và chuyển đổi giữa phân số và số thập phân.
  5. Các phép toán với số thập phân: Tương tự như phân số, học sinh cần nắm vững quy tắc và kỹ năng thực hiện các phép cộng, trừ, nhân, chia số thập phân.
  6. Ước lượng và làm tròn số: Phần này giúp học sinh phát triển khả năng ước tính kết quả và làm tròn số một cách hợp lý, ứng dụng trong các bài toán thực tế.
  7. Tỉ số và tỉ số phần trăm: Hiểu rõ khái niệm tỉ số và tỉ số phần trăm, cách tính tỉ số phần trăm của một số, và ứng dụng trong các bài toán liên quan đến đời sống.

B. Hình học

  1. Điểm và đường thẳng: Ôn lại các khái niệm cơ bản về điểm, đường thẳng, và mối quan hệ giữa chúng.
  2. Vị trí tương đối của hai đường thẳng: Học sinh cần phân biệt được hai trường hợp: hai đường thẳng cắt nhau và hai đường thẳng song song.
  3. Đoạn thẳng: Khái niệm đoạn thẳng, độ dài đoạn thẳng, và các tính chất cơ bản.
  4. Tia: Khái niệm tia, gốc tia, và các tính chất cơ bản.

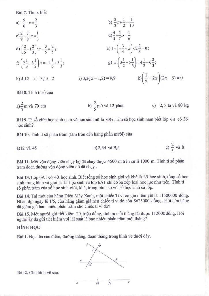
II. PHẦN 2: MỘT SỐ DẠNG BÀI TẬP MINH HỌA

Phần này sẽ cung cấp các bài tập mẫu, giúp học sinh rèn luyện kỹ năng giải toán và làm quen với các dạng bài thường gặp trong đề thi. (Nội dung chi tiết về các dạng bài tập minh họa không được cung cấp trong đoạn văn bản gốc)

Nhận xét chung: Đề cương ôn tập này bao phủ đầy đủ các kiến thức trọng tâm của chương trình Toán 6 học kỳ II. Việc nắm vững các kiến thức này là điều kiện cần thiết để học sinh đạt kết quả tốt trong kỳ kiểm tra sắp tới. giaibaitoan.com khuyến khích học sinh ôn tập kỹ lưỡng, làm bài tập thường xuyên và tìm kiếm sự hỗ trợ từ giáo viên khi gặp khó khăn.

Khởi động năm học lớp 6 đầy tự tin với nội dung ôn tập cuối kì 2 toán 6 năm 2024 – 2025 trường thcs ngọc lâm – hà nội trong chuyên mục giải sgk toán 6 trên nền tảng toán! Bộ bài tập lý thuyết toán thcs được biên soạn chuyên sâu, cập nhật chính xác theo khung chương trình sách giáo khoa THCS, sẽ là người bạn đồng hành đáng tin cậy giúp các em tối ưu hóa toàn diện quá trình ôn luyện, xây dựng nền tảng kiến thức Toán vững chắc, thông qua phương pháp tiếp cận trực quan và mang lại hiệu quả vượt trội.
images-post/on-tap-cuoi-ki-2-toan-6-nam-2024-2025-truong-thcs-ngoc-lam-ha-noi-1.jpgimages-post/on-tap-cuoi-ki-2-toan-6-nam-2024-2025-truong-thcs-ngoc-lam-ha-noi-2.jpgimages-post/on-tap-cuoi-ki-2-toan-6-nam-2024-2025-truong-thcs-ngoc-lam-ha-noi-3.jpgimages-post/on-tap-cuoi-ki-2-toan-6-nam-2024-2025-truong-thcs-ngoc-lam-ha-noi-4.jpgimages-post/on-tap-cuoi-ki-2-toan-6-nam-2024-2025-truong-thcs-ngoc-lam-ha-noi-5.jpgimages-post/on-tap-cuoi-ki-2-toan-6-nam-2024-2025-truong-thcs-ngoc-lam-ha-noi-6.jpg

File ôn tập cuối kì 2 toán 6 năm 2024 – 2025 trường thcs ngọc lâm – hà nội PDF Chi Tiết

TÌM KIẾM THEO TỪ KHÓA