Logo Header
  1. Môn Toán
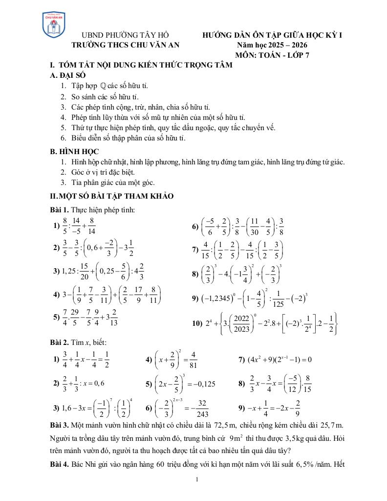
  2. ôn tập giữa học kỳ 1 toán 7 năm 2025 – 2026 trường thcs chu văn an – hà nội

ôn tập giữa học kỳ 1 toán 7 năm 2025 – 2026 trường thcs chu văn an – hà nội

Bạn đang xem tài liệu ôn tập giữa học kỳ 1 toán 7 năm 2025 – 2026 trường thcs chu văn an – hà nội được biên soạn theo soạn toán mới nhất. Tài liệu này hệ thống hóa kiến thức một cách khoa học, phù hợp cho mọi lộ trình học từ cơ bản đến nâng cao. Hãy khai thác triệt để nội dung để bứt phá điểm số và tự tin chinh phục mọi kỳ thi nhé!
Khám phá ngay nội dung ôn tập giữa học kỳ 1 toán 7 năm 2025 – 2026 trường thcs chu văn an – hà nội trong chuyên mục giải bài tập toán 7 trên nền tảng soạn toán để làm chủ kiến thức Toán lớp 7! Được biên soạn chuyên sâu và bám sát chặt chẽ chương trình sách giáo khoa hiện hành, bộ bài tập toán trung học cơ sở cam kết tối ưu hóa toàn diện quá trình ôn luyện, giúp học sinh không chỉ củng cố vững chắc kiến thức mà còn phát triển tư duy logic, thông qua phương pháp tiếp cận trực quan, sinh động và mang lại hiệu quả học tập vượt trội.
images-post/on-tap-giua-hoc-ky-1-toan-7-nam-2025-2026-truong-thcs-chu-van-an-ha-noi-1.jpgimages-post/on-tap-giua-hoc-ky-1-toan-7-nam-2025-2026-truong-thcs-chu-van-an-ha-noi-2.jpgimages-post/on-tap-giua-hoc-ky-1-toan-7-nam-2025-2026-truong-thcs-chu-van-an-ha-noi-3.jpg

File ôn tập giữa học kỳ 1 toán 7 năm 2025 – 2026 trường thcs chu văn an – hà nội PDF Chi Tiết

TÌM KIẾM THEO TỪ KHÓA