Logo Header
  1. Môn Toán
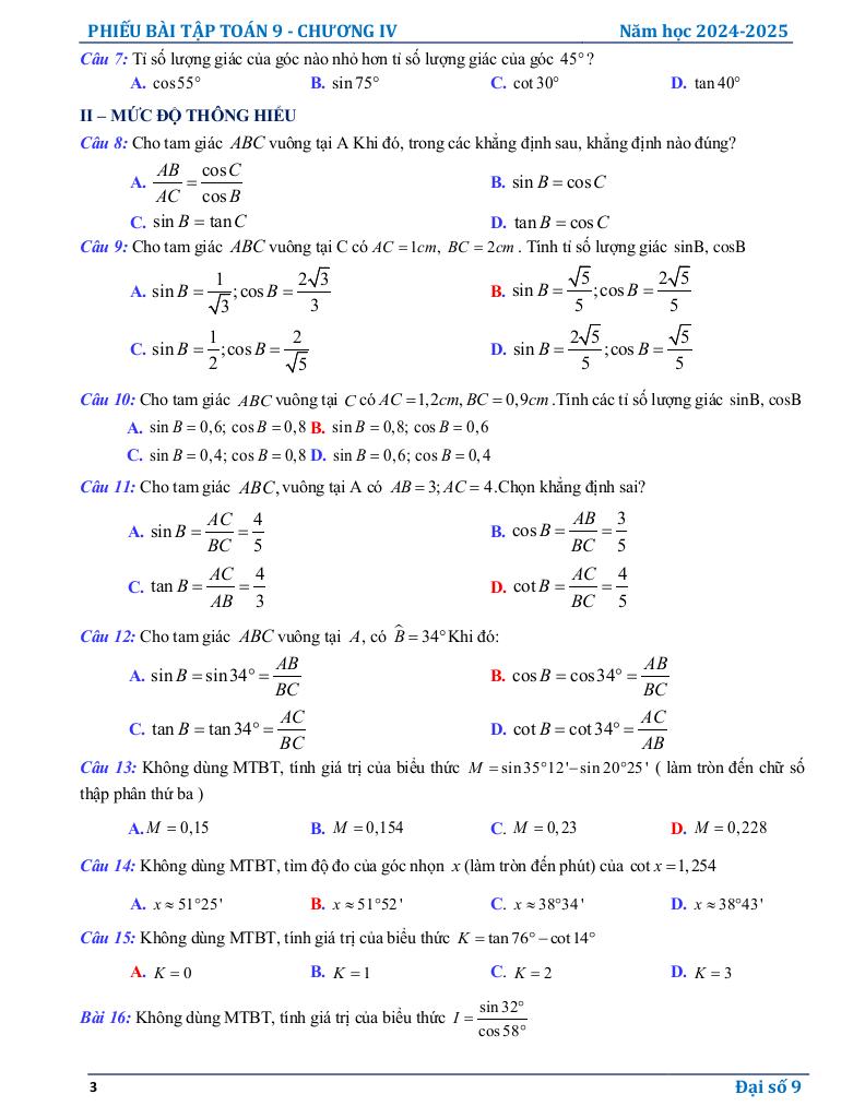
  2. phiếu bài tập toán 9 chương hệ thức lượng trong tam giác vuông

phiếu bài tập toán 9 chương hệ thức lượng trong tam giác vuông

Bạn đang xem tài liệu phiếu bài tập toán 9 chương hệ thức lượng trong tam giác vuông được biên soạn theo soạn toán mới nhất. Tài liệu này hệ thống hóa kiến thức một cách khoa học, phù hợp cho mọi lộ trình học từ cơ bản đến nâng cao. Hãy khai thác triệt để nội dung để bứt phá điểm số và tự tin chinh phục mọi kỳ thi nhé!
Chinh phục các kỳ thi Toán lớp 9 quan trọng với nội dung phiếu bài tập toán 9 chương hệ thức lượng trong tam giác vuông trong chuyên mục giải bài tập toán lớp 9 trên nền tảng soạn toán! Bộ bài tập toán trung học cơ sở, được biên soạn chuyên sâu, bám sát cấu trúc đề thi và chương trình sách giáo khoa hiện hành, cam kết tối ưu hóa toàn diện lộ trình ôn luyện. Qua đó, học sinh không chỉ củng cố vững chắc kiến thức mà còn thuần thục các dạng bài thi, tự tin đạt điểm cao, nhờ phương pháp tiếp cận trực quan, khoa học và mang lại hiệu quả học tập vượt trội.
images-post/phieu-bai-tap-toan-9-chuong-he-thuc-luong-trong-tam-giac-vuong-001.jpgimages-post/phieu-bai-tap-toan-9-chuong-he-thuc-luong-trong-tam-giac-vuong-002.jpgimages-post/phieu-bai-tap-toan-9-chuong-he-thuc-luong-trong-tam-giac-vuong-003.jpgimages-post/phieu-bai-tap-toan-9-chuong-he-thuc-luong-trong-tam-giac-vuong-004.jpgimages-post/phieu-bai-tap-toan-9-chuong-he-thuc-luong-trong-tam-giac-vuong-005.jpgimages-post/phieu-bai-tap-toan-9-chuong-he-thuc-luong-trong-tam-giac-vuong-006.jpgimages-post/phieu-bai-tap-toan-9-chuong-he-thuc-luong-trong-tam-giac-vuong-007.jpgimages-post/phieu-bai-tap-toan-9-chuong-he-thuc-luong-trong-tam-giac-vuong-008.jpgimages-post/phieu-bai-tap-toan-9-chuong-he-thuc-luong-trong-tam-giac-vuong-009.jpgimages-post/phieu-bai-tap-toan-9-chuong-he-thuc-luong-trong-tam-giac-vuong-010.jpg

File phiếu bài tập toán 9 chương hệ thức lượng trong tam giác vuông PDF Chi Tiết