Logo Header
  1. Môn Toán
  2. sổ tay kiến thức 8 chủ đề trọng tâm ôn thi tn thpt môn toán

sổ tay kiến thức 8 chủ đề trọng tâm ôn thi tn thpt môn toán

Bạn đang xem tài liệu sổ tay kiến thức 8 chủ đề trọng tâm ôn thi tn thpt môn toán được biên soạn theo toán math mới nhất. Tài liệu này hệ thống hóa kiến thức một cách khoa học, phù hợp cho mọi lộ trình học từ cơ bản đến nâng cao. Hãy khai thác triệt để nội dung để bứt phá điểm số và tự tin chinh phục mọi kỳ thi nhé!

Đánh giá chi tiết về "Sổ tay kiến thức Toán 12" – Tài liệu ôn thi tốt nghiệp THPT môn Toán theo chương trình mới

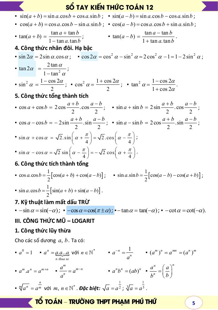
Tổ Toán trường THPT Phạm Phú Thứ, thành phố Đà Nẵng đã xuất bản một tài liệu vô cùng hữu ích dành cho học sinh lớp 12 đang chuẩn bị cho kỳ thi tốt nghiệp THPT môn Toán theo chương trình giáo dục phổ thông mới. Tài liệu có độ dài 40 trang, tập trung vào 8 chủ đề trọng tâm, được biên soạn một cách hệ thống và khoa học.

Điểm nổi bật và nhận xét chung:

Điểm mạnh lớn nhất của tài liệu này nằm ở sự ra đời đúng thời điểm. Năm học này đánh dấu sự chuyển đổi sang chương trình GDPT 2018, đồng thời là năm đầu tiên học sinh lớp 12 làm quen với cấu trúc đề thi mới. Sự thay đổi này đòi hỏi học sinh không chỉ nắm vững kiến thức mà còn cần hiểu sâu sắc bản chất và khả năng vận dụng linh hoạt. "Sổ tay kiến thức Toán 12" đã đáp ứng được yêu cầu này bằng cách cô đọng những kiến thức nền tảng, định nghĩa, định lý, tính chất và hệ quả quan trọng nhất.

Lời nói đầu của tài liệu đã chỉ ra rất rõ những thách thức của kỳ thi mới: giảm số lượng câu hỏi, tăng tính đa dạng và chiều sâu, đòi hỏi học sinh phải có nền tảng kiến thức vững chắc. Việc xác định và "chinh phục" từng chủ đề kiến thức là một chiến lược ôn thi hiệu quả, và tài liệu này chính là công cụ hỗ trợ đắc lực cho học sinh trong quá trình đó.

Cấu trúc nội dung và phân tích các chủ đề:

Tài liệu được chia thành 8 chủ đề chính, được sắp xếp một cách logic và khoa học:

  1. Chủ đề 0: Một số kiến thức nền tảng (1 trang) – Đây là phần mở đầu quan trọng, giúp học sinh ôn lại những kiến thức cơ bản cần thiết cho việc học tập và làm bài thi.
  2. Chủ đề 1: Phương trình và bất phương trình (7 trang) – Chủ đề này bao gồm các kiến thức về phương trình bậc nhất, bậc hai, phương trình vô tỷ, bất phương trình, hệ phương trình và bất phương trình.
  3. Chủ đề 2: Cấp số cộng và cấp số nhân (10 trang) – Tập trung vào lý thuyết, công thức và các bài toán ứng dụng liên quan đến cấp số cộng và cấp số nhân.
  4. Chủ đề 3: Đạo hàm và khảo sát hàm số (11 trang) – Đây là một trong những chủ đề quan trọng nhất trong chương trình Toán 12, bao gồm các kiến thức về đạo hàm, ứng dụng của đạo hàm trong việc khảo sát hàm số và tìm cực trị.
  5. Chủ đề 4: Nguyên hàm và tích phân (18 trang) – Chủ đề này bao gồm các kiến thức về nguyên hàm, tích phân bất định, tích phân xác định và ứng dụng của tích phân trong việc tính diện tích và thể tích.
  6. Chủ đề 5: Hình học không gian (21 trang) – Tập trung vào các kiến thức về đường thẳng và mặt phẳng trong không gian, quan hệ song song, quan hệ vuông góc và các bài toán về thể tích khối đa diện.
  7. Chủ đề 6: Vectơ và phương pháp tọa độ trong không gian (25 trang) – Chủ đề này bao gồm các kiến thức về vectơ, các phép toán vectơ, phương trình đường thẳng và mặt phẳng trong không gian.
  8. Chủ đề 7: Một số yếu tố về thống kê (31 trang) – Tập trung vào các kiến thức về thống kê mô tả, các loại biểu đồ và các đại lượng thống kê.
  9. Chủ đề 8: Một số yếu tố về xác suất (34 trang) – Chủ đề này bao gồm các kiến thức về xác suất của biến cố, quy tắc cộng xác suất, quy tắc nhân xác suất và các bài toán về xác suất.

Kết luận:

“Sổ tay kiến thức Toán 12” là một tài liệu tham khảo hữu ích và cần thiết cho học sinh lớp 12 đang ôn thi tốt nghiệp THPT môn Toán theo chương trình mới. Với cấu trúc khoa học, nội dung cô đọng và trọng tâm, tài liệu này sẽ giúp học sinh nắm vững kiến thức nền tảng, tự tin hơn trong quá trình ôn thi và đạt kết quả tốt nhất.

Xem thêm đáp án: sổ tay kiến thức 8 chủ đề trọng tâm ôn thi tn thpt môn toán

images-post/so-tay-kien-thuc-8-chu-de-trong-tam-on-thi-tn-thpt-mon-toan-01.jpgimages-post/so-tay-kien-thuc-8-chu-de-trong-tam-on-thi-tn-thpt-mon-toan-02.jpgimages-post/so-tay-kien-thuc-8-chu-de-trong-tam-on-thi-tn-thpt-mon-toan-03.jpgimages-post/so-tay-kien-thuc-8-chu-de-trong-tam-on-thi-tn-thpt-mon-toan-04.jpgimages-post/so-tay-kien-thuc-8-chu-de-trong-tam-on-thi-tn-thpt-mon-toan-05.jpgimages-post/so-tay-kien-thuc-8-chu-de-trong-tam-on-thi-tn-thpt-mon-toan-06.jpgimages-post/so-tay-kien-thuc-8-chu-de-trong-tam-on-thi-tn-thpt-mon-toan-07.jpgimages-post/so-tay-kien-thuc-8-chu-de-trong-tam-on-thi-tn-thpt-mon-toan-08.jpgimages-post/so-tay-kien-thuc-8-chu-de-trong-tam-on-thi-tn-thpt-mon-toan-09.jpgimages-post/so-tay-kien-thuc-8-chu-de-trong-tam-on-thi-tn-thpt-mon-toan-10.jpg

File sổ tay kiến thức 8 chủ đề trọng tâm ôn thi tn thpt môn toán PDF Chi Tiết