Logo Header
  1. Môn Toán
  2. thực hành giải toán môn toán 9 kết nối tri thức với cuộc sống tập 2

thực hành giải toán môn toán 9 kết nối tri thức với cuộc sống tập 2

Bạn đang xem tài liệu thực hành giải toán môn toán 9 kết nối tri thức với cuộc sống tập 2 được biên soạn theo đề thi toán mới nhất. Tài liệu này hệ thống hóa kiến thức một cách khoa học, phù hợp cho mọi lộ trình học từ cơ bản đến nâng cao. Hãy khai thác triệt để nội dung để bứt phá điểm số và tự tin chinh phục mọi kỳ thi nhé!

Tuyển tập tài liệu ôn tập Toán 9 Kết Nối Tri Thức Với Cuộc Sống (KNTTVCS) Tập 2: Đánh giá chi tiết và Phân tích nội dung

Tài liệu học tập Toán 9 do tác giả Toán Họa biên soạn, với độ dày 245 trang, là một nguồn tài liệu hữu ích dành cho học sinh lớp 9 đang sử dụng bộ sách Kết Nối Tri Thức Với Cuộc Sống (KNTTVCS) Tập 2. Điểm mạnh của tài liệu nằm ở cấu trúc rõ ràng, bao gồm phần tóm tắt lý thuyết cô đọng và hệ thống bài tập đa dạng, được thiết kế để hỗ trợ học sinh rèn luyện kỹ năng giải toán. Đặc biệt, tài liệu cung cấp đáp án và lời giải chi tiết, giúp học sinh tự học hiệu quả và kiểm tra, đánh giá kiến thức của bản thân.

Nội dung tài liệu bao phủ một phạm vi rộng các chủ đề quan trọng trong chương trình Toán 9 học kỳ 2, được trình bày theo từng bài học cụ thể. Dưới đây là danh mục các bài học được đề cập, kèm theo một số nhận xét phân tích:

  1. Bài 18. Hàm số y = ax2: Đây là nền tảng quan trọng để học sinh làm quen với các khái niệm hàm số bậc hai, hiểu rõ về đồ thị và các tính chất của hàm số.
  2. Bài 19. Phương trình bậc hai một ẩn: Bài học này tập trung vào việc giải phương trình bậc hai, một kỹ năng toán học cơ bản và thường xuyên xuất hiện trong các bài thi.
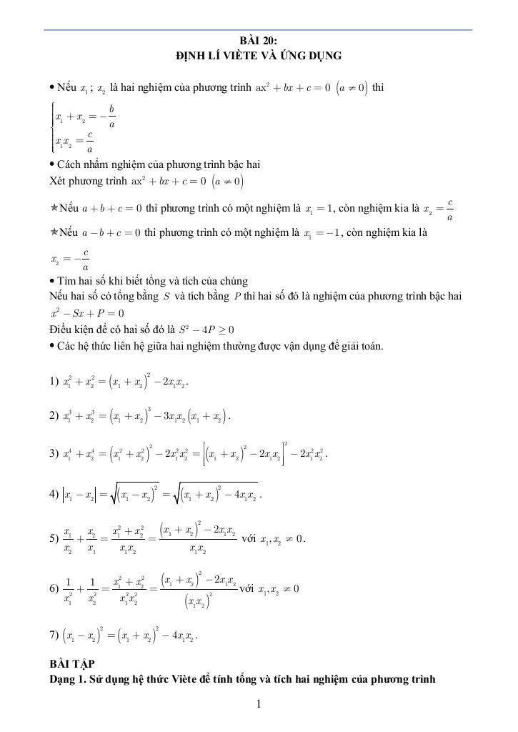
  3. Bài 20. Định lí Viète và ứng dụng: Định lí Viète là công cụ mạnh mẽ giúp học sinh tìm mối liên hệ giữa nghiệm và hệ số của phương trình bậc hai, đồng thời ứng dụng vào giải quyết các bài toán liên quan.
  4. Bài 21. Giải bài toán bằng cách lập phương trình: Đây là dạng toán ứng dụng thực tế, đòi hỏi học sinh khả năng phân tích đề bài, mô hình hóa bằng phương trình và giải quyết vấn đề.
  5. Bài 22, 23, 24. Bảng tần số và biểu đồ tần số: Các bài học này giới thiệu về thống kê cơ bản, giúp học sinh thu thập, tổ chức và biểu diễn dữ liệu một cách trực quan. Việc nắm vững kiến thức này rất quan trọng trong việc phân tích và đưa ra kết luận từ dữ liệu.
  6. Bài 25, 26. Phép thử ngẫu nhiên và Xác suất: Giới thiệu về lý thuyết xác suất, một lĩnh vực toán học ứng dụng rộng rãi trong đời sống và khoa học.
  7. Bài 27. Góc nội tiếp: Nâng cao kiến thức về hình học, tập trung vào các tính chất và ứng dụng của góc nội tiếp trong đường tròn.
  8. Bài 28. Đường tròn ngoại tiếp và đường tròn nội tiếp của một tam giác: Mở rộng kiến thức về đường tròn, mối liên hệ giữa đường tròn và tam giác.
  9. Bài 29. Tứ giác nội tiếp: Tiếp tục khám phá các tính chất của tứ giác nội tiếp, một khái niệm quan trọng trong hình học.
  10. Bài 30. Đa giác đều: Nghiên cứu về các đa giác đều, tính chất đối xứng và các yếu tố liên quan.
  11. Bài 31. Hình trụ và hình nón: Giới thiệu về các hình học không gian cơ bản, tính diện tích xung quanh, diện tích toàn phần và thể tích.
  12. Bài 32. Hình cầu: Tiếp tục khám phá các hình học không gian, tập trung vào hình cầu và các tính chất của nó.

Đánh giá chung:

Tài liệu này là một công cụ hỗ trợ học tập toàn diện cho học sinh Toán 9 KNTTVCS Tập 2. Với nội dung được trình bày rõ ràng, bài tập đa dạng và đáp án chi tiết, tài liệu sẽ giúp học sinh nắm vững kiến thức, rèn luyện kỹ năng và tự tin hơn trong các kỳ thi. Tuy nhiên, để đạt hiệu quả cao nhất, học sinh nên sử dụng tài liệu này kết hợp với sách giáo khoa, bài giảng của giáo viên và các nguồn tài liệu tham khảo khác.

Chinh phục các kỳ thi Toán lớp 9 quan trọng với nội dung thực hành giải toán môn toán 9 kết nối tri thức với cuộc sống tập 2 trong chuyên mục toán lớp 9 trên nền tảng đề thi toán! Bộ bài tập lý thuyết toán thcs, được biên soạn chuyên sâu, bám sát cấu trúc đề thi và chương trình sách giáo khoa hiện hành, cam kết tối ưu hóa toàn diện lộ trình ôn luyện. Qua đó, học sinh không chỉ củng cố vững chắc kiến thức mà còn thuần thục các dạng bài thi, tự tin đạt điểm cao, nhờ phương pháp tiếp cận trực quan, khoa học và mang lại hiệu quả học tập vượt trội.
images-post/thuc-hanh-giai-toan-mon-toan-9-ket-noi-tri-thuc-voi-cuoc-song-tap-2-001.jpgimages-post/thuc-hanh-giai-toan-mon-toan-9-ket-noi-tri-thuc-voi-cuoc-song-tap-2-002.jpgimages-post/thuc-hanh-giai-toan-mon-toan-9-ket-noi-tri-thuc-voi-cuoc-song-tap-2-003.jpgimages-post/thuc-hanh-giai-toan-mon-toan-9-ket-noi-tri-thuc-voi-cuoc-song-tap-2-004.jpgimages-post/thuc-hanh-giai-toan-mon-toan-9-ket-noi-tri-thuc-voi-cuoc-song-tap-2-005.jpgimages-post/thuc-hanh-giai-toan-mon-toan-9-ket-noi-tri-thuc-voi-cuoc-song-tap-2-006.jpgimages-post/thuc-hanh-giai-toan-mon-toan-9-ket-noi-tri-thuc-voi-cuoc-song-tap-2-007.jpgimages-post/thuc-hanh-giai-toan-mon-toan-9-ket-noi-tri-thuc-voi-cuoc-song-tap-2-008.jpgimages-post/thuc-hanh-giai-toan-mon-toan-9-ket-noi-tri-thuc-voi-cuoc-song-tap-2-009.jpgimages-post/thuc-hanh-giai-toan-mon-toan-9-ket-noi-tri-thuc-voi-cuoc-song-tap-2-010.jpg

File thực hành giải toán môn toán 9 kết nối tri thức với cuộc sống tập 2 PDF Chi Tiết