Logo Header
  1. Môn Toán
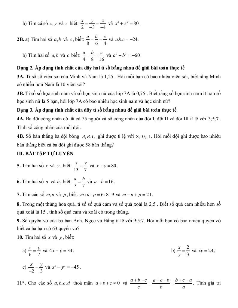
  2. tóm tắt lý thuyết và các dạng bài tập tỉ lệ thức và đại lượng tỉ lệ toán 7

tóm tắt lý thuyết và các dạng bài tập tỉ lệ thức và đại lượng tỉ lệ toán 7

Bạn đang xem tài liệu tóm tắt lý thuyết và các dạng bài tập tỉ lệ thức và đại lượng tỉ lệ toán 7 được biên soạn theo đề thi toán mới nhất. Tài liệu này hệ thống hóa kiến thức một cách khoa học, phù hợp cho mọi lộ trình học từ cơ bản đến nâng cao. Hãy khai thác triệt để nội dung để bứt phá điểm số và tự tin chinh phục mọi kỳ thi nhé!
Khám phá ngay nội dung tóm tắt lý thuyết và các dạng bài tập tỉ lệ thức và đại lượng tỉ lệ toán 7 trong chuyên mục giải sgk toán 7 trên nền tảng đề thi toán để làm chủ kiến thức Toán lớp 7! Được biên soạn chuyên sâu và bám sát chặt chẽ chương trình sách giáo khoa hiện hành, bộ bài tập lý thuyết toán thcs cam kết tối ưu hóa toàn diện quá trình ôn luyện, giúp học sinh không chỉ củng cố vững chắc kiến thức mà còn phát triển tư duy logic, thông qua phương pháp tiếp cận trực quan, sinh động và mang lại hiệu quả học tập vượt trội.
images-post/tom-tat-ly-thuyet-va-cac-dang-bai-tap-ti-le-thuc-va-dai-luong-ti-le-toan-7-01.jpgimages-post/tom-tat-ly-thuyet-va-cac-dang-bai-tap-ti-le-thuc-va-dai-luong-ti-le-toan-7-02.jpgimages-post/tom-tat-ly-thuyet-va-cac-dang-bai-tap-ti-le-thuc-va-dai-luong-ti-le-toan-7-03.jpgimages-post/tom-tat-ly-thuyet-va-cac-dang-bai-tap-ti-le-thuc-va-dai-luong-ti-le-toan-7-04.jpgimages-post/tom-tat-ly-thuyet-va-cac-dang-bai-tap-ti-le-thuc-va-dai-luong-ti-le-toan-7-05.jpgimages-post/tom-tat-ly-thuyet-va-cac-dang-bai-tap-ti-le-thuc-va-dai-luong-ti-le-toan-7-06.jpgimages-post/tom-tat-ly-thuyet-va-cac-dang-bai-tap-ti-le-thuc-va-dai-luong-ti-le-toan-7-07.jpgimages-post/tom-tat-ly-thuyet-va-cac-dang-bai-tap-ti-le-thuc-va-dai-luong-ti-le-toan-7-08.jpgimages-post/tom-tat-ly-thuyet-va-cac-dang-bai-tap-ti-le-thuc-va-dai-luong-ti-le-toan-7-09.jpgimages-post/tom-tat-ly-thuyet-va-cac-dang-bai-tap-ti-le-thuc-va-dai-luong-ti-le-toan-7-10.jpg

File tóm tắt lý thuyết và các dạng bài tập tỉ lệ thức và đại lượng tỉ lệ toán 7 PDF Chi Tiết

TÌM KIẾM THEO TỪ KHÓA