Logo Header
  1. Môn Toán
  2. trắc nghiệm và tự luận chủ đề nguyên hàm

trắc nghiệm và tự luận chủ đề nguyên hàm

Bạn đang xem tài liệu trắc nghiệm và tự luận chủ đề nguyên hàm được biên soạn theo môn toán mới nhất. Tài liệu này hệ thống hóa kiến thức một cách khoa học, phù hợp cho mọi lộ trình học từ cơ bản đến nâng cao. Hãy khai thác triệt để nội dung để bứt phá điểm số và tự tin chinh phục mọi kỳ thi nhé!

Tuyển tập bài tập Nguyên hàm Toán 12: Đánh giá chi tiết và Phân tích cấu trúc nội dung

Tài liệu học tập môn Toán 12, chuyên đề Nguyên hàm, do thầy giáo Trương Ngọc Vỹ biên soạn, là một nguồn tài liệu tham khảo hữu ích dành cho học sinh ôn luyện và nâng cao kiến thức. Với độ dày 217 trang, tài liệu này bao phủ toàn diện kiến thức nguyên hàm theo chương trình mới, bao gồm các bộ sách Cánh Diều, Chân Trời Sáng Tạo và Kết Nối Tri Thức Với Cuộc Sống. Điểm mạnh của tài liệu nằm ở sự phân dạng bài tập chi tiết, kết hợp nhuần nhuyễn giữa các dạng bài tập trắc nghiệm và tự luận, giúp học sinh rèn luyện kỹ năng giải quyết vấn đề một cách toàn diện.

Cấu trúc nội dung của tài liệu được chia thành hai chủ đề chính:

  1. Chủ đề 1: Nguyên hàm của một số hàm số cơ bản
    • Phần A: Tự luận phân dạng toán
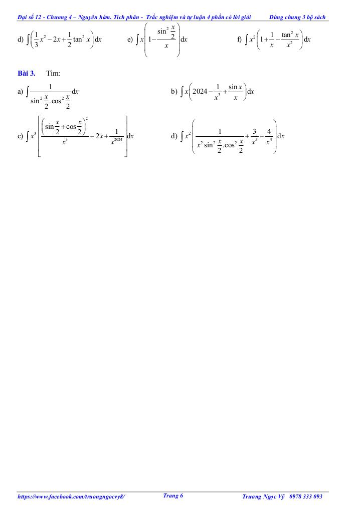
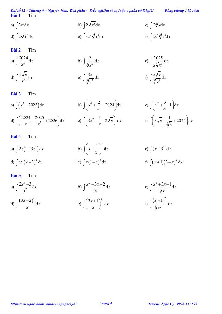
      • Dạng 1: Nguyên hàm hàm lũy thừa.
      • Dạng 2: Nguyên hàm hàm lượng giác.
      • Dạng 3: Nguyên hàm hàm mũ.
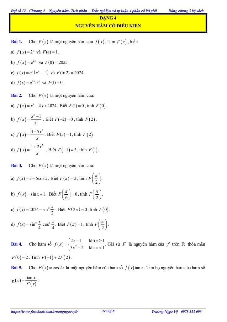
      • Dạng 4: Nguyên hàm có điều kiện.
      • Dạng 5: Nguyên hàm của hàm ẩn.
    • Phần B: Trắc nghiệm và tự luận tổng hợp
      • Phần 1: Câu trắc nghiệm nhiều phương án lựa chọn.
      • Phần 2: Câu trắc nghiệm đúng sai.
      • Phần 3: Câu trắc nghiệm trả lời ngắn.
      • Phần 4: Câu tự luận.
  2. Chủ đề 2: Ứng dụng thực tiễn của nguyên hàm
    • Phần A: Tự luận phân dạng toán
      • Dạng 1: Ứng dụng nguyên hàm trong bài toán chuyển động.
      • Dạng 2: Một số bài toán ứng dụng nguyên hàm trong thực tiễn.
    • Phần B: Trắc nghiệm và tự luận tổng hợp
      • Phần 1: Câu trắc nghiệm nhiều phương án lựa chọn.
      • Phần 2: Câu trắc nghiệm đúng sai.
      • Phần 3: Câu trắc nghiệm trả lời ngắn.
      • Phần 4: Câu tự luận.

Nhận xét và phân tích chuyên sâu:

Việc chia nhỏ nội dung thành các dạng bài tập cụ thể trong phần tự luận là một điểm cộng lớn, giúp học sinh dễ dàng nắm bắt phương pháp giải cho từng loại bài toán. Sự kết hợp giữa trắc nghiệm và tự luận trong phần tổng hợp giúp học sinh kiểm tra kiến thức một cách đa dạng và toàn diện. Đặc biệt, chủ đề về ứng dụng thực tiễn của nguyên hàm là một phần quan trọng, giúp học sinh thấy được tính ứng dụng của kiến thức toán học vào đời sống.

Tài liệu này phù hợp với nhiều đối tượng học sinh, từ những em mới bắt đầu làm quen với kiến thức nguyên hàm đến những em muốn nâng cao kỹ năng giải toán. Tuy nhiên, để đạt hiệu quả tốt nhất, học sinh nên kết hợp việc học tài liệu này với việc học trên lớp và làm thêm các bài tập khác.

Đánh giá: Tài liệu là một nguồn tài liệu tham khảo chất lượng, được trình bày khoa học và dễ hiểu. Đây là một công cụ hỗ trợ đắc lực cho học sinh trong quá trình ôn luyện và thi cử môn Toán 12.

Chinh phục điểm cao Kỳ thi Tốt nghiệp THPT Quốc gia môn Toán, rộng mở cánh cửa Đại học với nội dung trắc nghiệm và tự luận chủ đề nguyên hàm trong chuyên mục giải sgk toán 12 trên nền tảng môn toán! Bộ bài tập toán trung học phổ thông, được biên soạn chuyên sâu, bám sát cấu trúc đề thi và chương trình Toán 12, cam kết tối ưu hóa toàn diện lộ trình ôn luyện. Qua đó, học sinh không chỉ làm chủ mọi dạng bài thi mà còn trang bị chiến thuật làm bài hiệu quả, tự tin đạt kết quả đột phá, tạo nền tảng vững chắc cho Kỳ thi Tốt nghiệp THPT Quốc gia và hành trang vững vàng vào đại học, nhờ phương pháp tiếp cận trực quan, khoa học và mang lại hiệu quả học tập vượt trội.
images-post/trac-nghiem-va-tu-luan-chu-de-nguyen-ham-001.jpgimages-post/trac-nghiem-va-tu-luan-chu-de-nguyen-ham-002.jpgimages-post/trac-nghiem-va-tu-luan-chu-de-nguyen-ham-003.jpgimages-post/trac-nghiem-va-tu-luan-chu-de-nguyen-ham-004.jpgimages-post/trac-nghiem-va-tu-luan-chu-de-nguyen-ham-005.jpgimages-post/trac-nghiem-va-tu-luan-chu-de-nguyen-ham-006.jpgimages-post/trac-nghiem-va-tu-luan-chu-de-nguyen-ham-007.jpgimages-post/trac-nghiem-va-tu-luan-chu-de-nguyen-ham-008.jpgimages-post/trac-nghiem-va-tu-luan-chu-de-nguyen-ham-009.jpgimages-post/trac-nghiem-va-tu-luan-chu-de-nguyen-ham-010.jpg

File trắc nghiệm và tự luận chủ đề nguyên hàm PDF Chi Tiết