Logo Header
  1. Môn Toán
  2. chuyên đề phương trình bậc hai và hệ thức viète ôn thi vào lớp 10

chuyên đề phương trình bậc hai và hệ thức viète ôn thi vào lớp 10

Bạn đang xem tài liệu chuyên đề phương trình bậc hai và hệ thức viète ôn thi vào lớp 10 được biên soạn theo toán mới nhất. Tài liệu này hệ thống hóa kiến thức một cách khoa học, phù hợp cho mọi lộ trình học từ cơ bản đến nâng cao. Hãy khai thác triệt để nội dung để bứt phá điểm số và tự tin chinh phục mọi kỳ thi nhé!

Tài liệu ôn tập chuyên đề Phương trình bậc hai và Hệ thức Viète – Hướng dẫn chi tiết cho kỳ thi tuyển sinh lớp 10 THPT

Tài liệu học tập này, với độ dài 45 trang, được biên soạn nhằm mục đích cung cấp một nguồn tài liệu ôn tập toàn diện và hiệu quả cho học sinh đang chuẩn bị cho kỳ thi tuyển sinh vào lớp 10 THPT. Tài liệu tập trung vào chuyên đề Phương trình bậc hai và Hệ thức Viète – một trong những nội dung trọng tâm thường xuyên xuất hiện trong các đề thi. Điểm mạnh của tài liệu nằm ở sự kết hợp chặt chẽ giữa lý thuyết nền tảng và bài tập vận dụng, giúp học sinh không chỉ nắm vững kiến thức mà còn rèn luyện kỹ năng giải quyết vấn đề.

I. Cấu trúc nội dung và đánh giá chi tiết

Tài liệu được chia thành hai phần chính:

  1. A. Kiến thức cơ bản cần nắm: Phần này đóng vai trò nền tảng, hệ thống hóa lại những kiến thức cốt lõi liên quan đến phương trình bậc hai và hệ thức Viète. Cấu trúc nội dung được trình bày một cách logic và khoa học, bao gồm:
    • 1. Định nghĩa phương trình bậc hai một ẩn: Giới thiệu khái niệm cơ bản về phương trình bậc hai, các yếu tố cấu thành (hệ số a, b, c).
    • 2. Cách giải phương trình bậc hai một ẩn có dạng đặc biệt: Tập trung vào các trường hợp đơn giản như phương trình thiếu, phương trình thuần nhất, giúp học sinh nắm vững các kỹ năng giải nhanh.
    • 3. Công thức nghiệm của phương trình bậc hai: Trình bày chi tiết công thức nghiệm tổng quát, điều kiện để phương trình có nghiệm, nghiệm kép, nghiệm vô nghiệm.
    • 4. Định lí Viète: Phát biểu định lý Viète một cách chính xác và dễ hiểu, mối liên hệ giữa nghiệm và hệ số của phương trình bậc hai.
    • 5. Áp dụng định lí Viète để tính nhẩm nghiệm: Hướng dẫn học sinh sử dụng định lý Viète để dự đoán và kiểm tra nghiệm của phương trình, tiết kiệm thời gian giải bài.
    • 6. Tìm hai số khi biết tổng và tích của chúng: Ứng dụng định lý Viète vào bài toán tìm hai số khi biết tổng và tích, một kỹ năng thường gặp trong các bài toán thực tế.
    • 7. Một số lưu ý và các kết quả cần nắm khi giải các bài toán liên quan đến định lý Viète: Tổng hợp các mẹo và kinh nghiệm giải bài tập, giúp học sinh tránh các lỗi sai thường gặp.
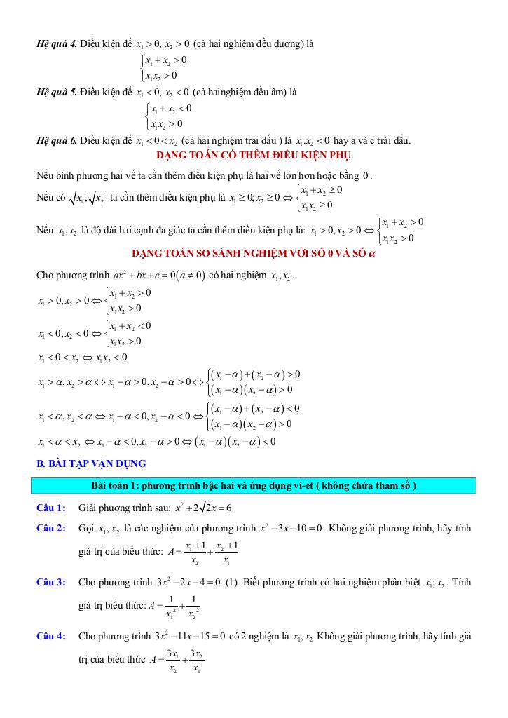
    • 8. Hệ quả của định lý Viète: Khai thác các hệ quả quan trọng của định lý Viète, mở rộng ứng dụng trong các bài toán phức tạp hơn.
    • 9. Dạng toán có thêm điều kiện phụ: Giải quyết các bài toán phương trình bậc hai kết hợp với các điều kiện ràng buộc, đòi hỏi học sinh phải vận dụng linh hoạt kiến thức.
    • 10. Dạng toán so sánh nghiệm với số 0 và số a: Rèn luyện kỹ năng phân tích và so sánh nghiệm, một yêu cầu quan trọng trong các bài thi.
  2. B. Bài tập vận dụng: Phần này cung cấp một loạt các bài tập đa dạng, được phân loại theo mức độ khó và chủ đề, giúp học sinh củng cố kiến thức và rèn luyện kỹ năng giải quyết vấn đề.
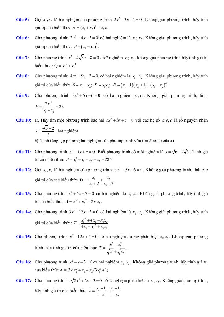
    • Bài toán 1: Phương trình bậc hai và ứng dụng Viète (không chứa tham số): Các bài tập cơ bản, tập trung vào việc áp dụng trực tiếp công thức nghiệm và định lý Viète.
    • Bài toán 2: Các bài toán có liên quan đến tham số: Các bài tập nâng cao, đòi hỏi học sinh phải phân tích kỹ đề bài, xét các trường hợp khác nhau của tham số và sử dụng các kỹ năng biến đổi đại số.
    • Bài toán 3: Toán sử dụng định lý Viète với những biểu thức không đối xứng: Các bài tập thách thức, yêu cầu học sinh phải sáng tạo và vận dụng định lý Viète một cách linh hoạt để giải quyết các biểu thức phức tạp.

II. Nhận xét chung

Nhìn chung, tài liệu này là một nguồn tài liệu học tập hữu ích và đáng tin cậy cho học sinh ôn thi tuyển sinh lớp 10 THPT. Cấu trúc nội dung rõ ràng, logic, kết hợp lý thuyết và bài tập một cách hợp lý. Các bài tập vận dụng được phân loại đa dạng, đáp ứng nhu cầu ôn tập của nhiều đối tượng học sinh. Tuy nhiên, để nâng cao chất lượng tài liệu, cần bổ sung thêm các ví dụ minh họa chi tiết cho từng dạng bài tập, cũng như các bài tập tự luyện có đáp án để học sinh có thể tự đánh giá năng lực của mình.

Đề xuất cải thiện:

  • Thêm các ví dụ minh họa chi tiết cho từng dạng bài tập.
  • Bổ sung các bài tập tự luyện có đáp án.
  • Cung cấp các lời giải chi tiết và dễ hiểu cho các bài tập vận dụng.
Chinh phục các kỳ thi Toán lớp 9 quan trọng với nội dung chuyên đề phương trình bậc hai và hệ thức viète ôn thi vào lớp 10 trong chuyên mục sách bài tập toán 9 trên nền tảng toán! Bộ bài tập toán thcs, được biên soạn chuyên sâu, bám sát cấu trúc đề thi và chương trình sách giáo khoa hiện hành, cam kết tối ưu hóa toàn diện lộ trình ôn luyện. Qua đó, học sinh không chỉ củng cố vững chắc kiến thức mà còn thuần thục các dạng bài thi, tự tin đạt điểm cao, nhờ phương pháp tiếp cận trực quan, khoa học và mang lại hiệu quả học tập vượt trội.
images-post/chuyen-de-phuong-trinh-bac-hai-va-he-thuc-viete-on-thi-vao-lop-10-01.jpgimages-post/chuyen-de-phuong-trinh-bac-hai-va-he-thuc-viete-on-thi-vao-lop-10-02.jpgimages-post/chuyen-de-phuong-trinh-bac-hai-va-he-thuc-viete-on-thi-vao-lop-10-03.jpgimages-post/chuyen-de-phuong-trinh-bac-hai-va-he-thuc-viete-on-thi-vao-lop-10-04.jpgimages-post/chuyen-de-phuong-trinh-bac-hai-va-he-thuc-viete-on-thi-vao-lop-10-05.jpgimages-post/chuyen-de-phuong-trinh-bac-hai-va-he-thuc-viete-on-thi-vao-lop-10-06.jpgimages-post/chuyen-de-phuong-trinh-bac-hai-va-he-thuc-viete-on-thi-vao-lop-10-07.jpgimages-post/chuyen-de-phuong-trinh-bac-hai-va-he-thuc-viete-on-thi-vao-lop-10-08.jpgimages-post/chuyen-de-phuong-trinh-bac-hai-va-he-thuc-viete-on-thi-vao-lop-10-09.jpgimages-post/chuyen-de-phuong-trinh-bac-hai-va-he-thuc-viete-on-thi-vao-lop-10-10.jpg

File chuyên đề phương trình bậc hai và hệ thức viète ôn thi vào lớp 10 PDF Chi Tiết