Logo Header
  1. Môn Toán
  2. đề cuối học kỳ 1 toán 9 năm 2024 – 2025 phòng gd&đt kinh môn – hải dương

đề cuối học kỳ 1 toán 9 năm 2024 – 2025 phòng gd&đt kinh môn – hải dương

Bạn đang xem tài liệu đề cuối học kỳ 1 toán 9 năm 2024 – 2025 phòng gd&đt kinh môn – hải dương được biên soạn theo toán học mới nhất. Tài liệu này hệ thống hóa kiến thức một cách khoa học, phù hợp cho mọi lộ trình học từ cơ bản đến nâng cao. Hãy khai thác triệt để nội dung để bứt phá điểm số và tự tin chinh phục mọi kỳ thi nhé!
Chinh phục các kỳ thi Toán lớp 9 quan trọng với nội dung đề cuối học kỳ 1 toán 9 năm 2024 – 2025 phòng gd&đt kinh môn – hải dương trong chuyên mục toán 9 sgk trên nền tảng toán học! Bộ bài tập lý thuyết toán thcs, được biên soạn chuyên sâu, bám sát cấu trúc đề thi và chương trình sách giáo khoa hiện hành, cam kết tối ưu hóa toàn diện lộ trình ôn luyện. Qua đó, học sinh không chỉ củng cố vững chắc kiến thức mà còn thuần thục các dạng bài thi, tự tin đạt điểm cao, nhờ phương pháp tiếp cận trực quan, khoa học và mang lại hiệu quả học tập vượt trội.
images-post/de-cuoi-hoc-ky-1-toan-9-nam-2024-2025-phong-gd-dt-kinh-mon-hai-duong-1.jpgimages-post/de-cuoi-hoc-ky-1-toan-9-nam-2024-2025-phong-gd-dt-kinh-mon-hai-duong-2.jpgimages-post/de-cuoi-hoc-ky-1-toan-9-nam-2024-2025-phong-gd-dt-kinh-mon-hai-duong-3.jpgimages-post/de-cuoi-hoc-ky-1-toan-9-nam-2024-2025-phong-gd-dt-kinh-mon-hai-duong-4.jpgimages-post/de-cuoi-hoc-ky-1-toan-9-nam-2024-2025-phong-gd-dt-kinh-mon-hai-duong-5.jpgimages-post/de-cuoi-hoc-ky-1-toan-9-nam-2024-2025-phong-gd-dt-kinh-mon-hai-duong-6.jpg

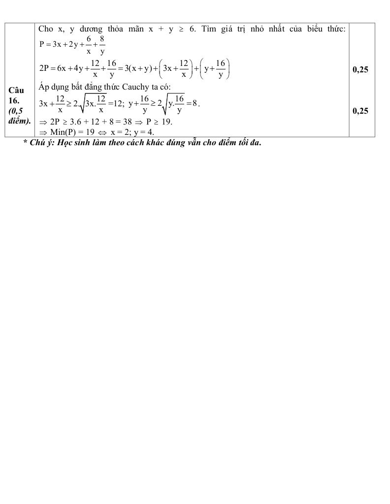
File đề cuối học kỳ 1 toán 9 năm 2024 – 2025 phòng gd&đt kinh môn – hải dương PDF Chi Tiết