Logo Header
  1. Môn Toán
  2. đề cương cuối kỳ 2 toán 6 năm 2024 – 2025 trường thcs mạo khê 2 – quảng ninh

đề cương cuối kỳ 2 toán 6 năm 2024 – 2025 trường thcs mạo khê 2 – quảng ninh

Bạn đang xem tài liệu đề cương cuối kỳ 2 toán 6 năm 2024 – 2025 trường thcs mạo khê 2 – quảng ninh được biên soạn theo đề thi toán mới nhất. Tài liệu này hệ thống hóa kiến thức một cách khoa học, phù hợp cho mọi lộ trình học từ cơ bản đến nâng cao. Hãy khai thác triệt để nội dung để bứt phá điểm số và tự tin chinh phục mọi kỳ thi nhé!

giaibaitoan.com xin giới thiệu đến quý thầy cô giáo và các em học sinh lớp 6 đề cương ôn tập cuối học kỳ II môn Toán 6 năm học 2024 – 2025 của trường THCS Mạo Khê 2, thành phố Đông Triều, tỉnh Quảng Ninh. Đây là một tài liệu hữu ích giúp học sinh hệ thống lại kiến thức và rèn luyện kỹ năng giải bài tập, chuẩn bị tốt nhất cho kỳ kiểm tra sắp tới.

I. NỘI DUNG KIẾN THỨC ÔN TẬP

Đề cương ôn tập này tập trung vào hai lĩnh vực kiến thức chính, bao gồm:

* Lĩnh vực 1: Số học và Thống kê - Xác suất

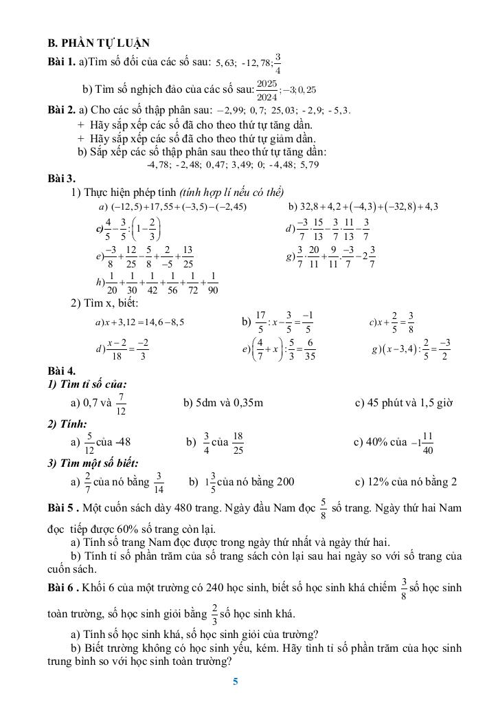
  1. Chương IV: Thống kê và Xác suất
    • Thu thập, tổ chức, biểu diễn, phân tích và xử lý dữ liệu thống kê đơn giản.
    • Sử dụng và đọc hiểu các loại biểu đồ thường gặp: biểu đồ tranh, biểu đồ cột, biểu đồ cột kép.
    • Khái niệm cơ bản về mô hình xác suất và ứng dụng tính xác suất thực nghiệm trong các tình huống trò chơi, thí nghiệm đơn giản.
  2. Chương V: Phân số và Số thập phân
    • Nắm vững khái niệm phân số, các phân số bằng nhau và tính chất cơ bản của phân số. Kỹ năng quy đồng mẫu nhiều phân số là trọng tâm.
    • So sánh phân số, đặc biệt chú trọng đến việc so sánh các hỗn số dương.
    • Thực hiện các phép toán cộng, trừ, nhân, chia phân số một cách thành thạo.
    • So sánh số thập phân, chuyển đổi giữa dạng phân số và số thập phân, và kỹ năng làm tròn số thập phân.
    • Thực hiện các phép toán cộng, trừ, nhân, chia số thập phân một cách chính xác.
    • Giải các bài toán ứng dụng liên quan đến phân số, tỉ số và tỉ số phần trăm. Đây là phần đòi hỏi học sinh phải vận dụng kiến thức vào thực tế.

* Lĩnh vực 2: Hình học

  1. Chương VI: Các khái niệm Hình học cơ bản
    • Nội dung ôn tập bao gồm các kiến thức từ bài 1 (Điểm. Đường thẳng) đến bài 5 (Góc). Cần nắm vững các định nghĩa, tính chất cơ bản về điểm, đường thẳng, đoạn thẳng, tia, góc và các loại góc.

II. CÁC DẠNG BÀI TẬP

Đề cương này bao gồm nhiều dạng bài tập khác nhau, giúp học sinh rèn luyện kỹ năng giải quyết các vấn đề toán học. Các bài tập được thiết kế để đánh giá khả năng hiểu và vận dụng kiến thức của học sinh một cách toàn diện.

File WORD (dành cho quý thầy, cô): TẢI XUỐNG

Nhận xét chung: Đề cương ôn tập này bao phủ đầy đủ các kiến thức trọng tâm của chương trình Toán 6 học kỳ II. Việc nắm vững các nội dung này sẽ giúp học sinh tự tin hơn trong kỳ kiểm tra. Quý thầy cô có thể sử dụng tài liệu này để xây dựng kế hoạch ôn tập hiệu quả cho học sinh.

Khởi động năm học lớp 6 đầy tự tin với nội dung đề cương cuối kỳ 2 toán 6 năm 2024 – 2025 trường thcs mạo khê 2 – quảng ninh trong chuyên mục giải toán 6 trên nền tảng đề thi toán! Bộ bài tập toán trung học cơ sở được biên soạn chuyên sâu, cập nhật chính xác theo khung chương trình sách giáo khoa THCS, sẽ là người bạn đồng hành đáng tin cậy giúp các em tối ưu hóa toàn diện quá trình ôn luyện, xây dựng nền tảng kiến thức Toán vững chắc, thông qua phương pháp tiếp cận trực quan và mang lại hiệu quả vượt trội.
images-post/de-cuong-cuoi-ky-2-toan-6-nam-2024-2025-truong-thcs-mao-khe-2-quang-ninh-1.jpgimages-post/de-cuong-cuoi-ky-2-toan-6-nam-2024-2025-truong-thcs-mao-khe-2-quang-ninh-2.jpgimages-post/de-cuong-cuoi-ky-2-toan-6-nam-2024-2025-truong-thcs-mao-khe-2-quang-ninh-3.jpgimages-post/de-cuong-cuoi-ky-2-toan-6-nam-2024-2025-truong-thcs-mao-khe-2-quang-ninh-4.jpgimages-post/de-cuong-cuoi-ky-2-toan-6-nam-2024-2025-truong-thcs-mao-khe-2-quang-ninh-5.jpgimages-post/de-cuong-cuoi-ky-2-toan-6-nam-2024-2025-truong-thcs-mao-khe-2-quang-ninh-6.jpgimages-post/de-cuong-cuoi-ky-2-toan-6-nam-2024-2025-truong-thcs-mao-khe-2-quang-ninh-7.jpgimages-post/de-cuong-cuoi-ky-2-toan-6-nam-2024-2025-truong-thcs-mao-khe-2-quang-ninh-8.jpg

File đề cương cuối kỳ 2 toán 6 năm 2024 – 2025 trường thcs mạo khê 2 – quảng ninh PDF Chi Tiết

TÌM KIẾM THEO TỪ KHÓA