Logo Header
  1. Môn Toán
  2. đề cương giữa học kì 1 toán 7 năm 2025 – 2026 trường thcs tân mai – hà nội

đề cương giữa học kì 1 toán 7 năm 2025 – 2026 trường thcs tân mai – hà nội

Bạn đang xem tài liệu đề cương giữa học kì 1 toán 7 năm 2025 – 2026 trường thcs tân mai – hà nội được biên soạn theo môn toán mới nhất. Tài liệu này hệ thống hóa kiến thức một cách khoa học, phù hợp cho mọi lộ trình học từ cơ bản đến nâng cao. Hãy khai thác triệt để nội dung để bứt phá điểm số và tự tin chinh phục mọi kỳ thi nhé!
Khám phá ngay nội dung đề cương giữa học kì 1 toán 7 năm 2025 – 2026 trường thcs tân mai – hà nội trong chuyên mục giải bài tập toán lớp 7 trên nền tảng môn toán để làm chủ kiến thức Toán lớp 7! Được biên soạn chuyên sâu và bám sát chặt chẽ chương trình sách giáo khoa hiện hành, bộ bài tập toán thcs cam kết tối ưu hóa toàn diện quá trình ôn luyện, giúp học sinh không chỉ củng cố vững chắc kiến thức mà còn phát triển tư duy logic, thông qua phương pháp tiếp cận trực quan, sinh động và mang lại hiệu quả học tập vượt trội.
images-post/de-cuong-giua-hoc-ki-1-toan-7-nam-2025-2026-truong-thcs-tan-mai-ha-noi-1.jpgimages-post/de-cuong-giua-hoc-ki-1-toan-7-nam-2025-2026-truong-thcs-tan-mai-ha-noi-2.jpgimages-post/de-cuong-giua-hoc-ki-1-toan-7-nam-2025-2026-truong-thcs-tan-mai-ha-noi-3.jpgimages-post/de-cuong-giua-hoc-ki-1-toan-7-nam-2025-2026-truong-thcs-tan-mai-ha-noi-4.jpgimages-post/de-cuong-giua-hoc-ki-1-toan-7-nam-2025-2026-truong-thcs-tan-mai-ha-noi-5.jpgimages-post/de-cuong-giua-hoc-ki-1-toan-7-nam-2025-2026-truong-thcs-tan-mai-ha-noi-6.jpg

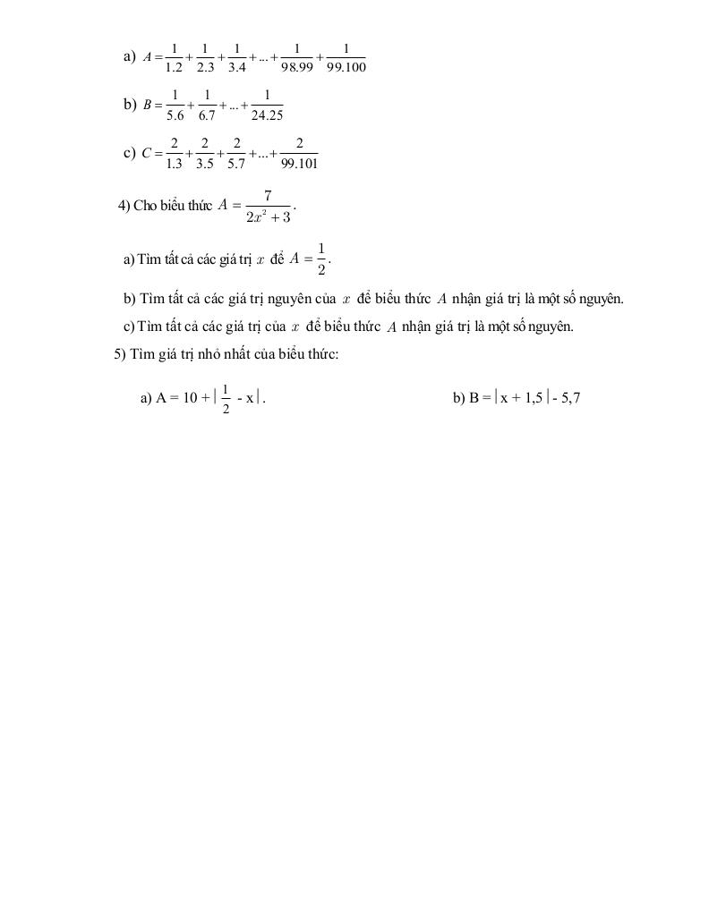
File đề cương giữa học kì 1 toán 7 năm 2025 – 2026 trường thcs tân mai – hà nội PDF Chi Tiết

TÌM KIẾM THEO TỪ KHÓA