Logo Header
  1. Môn Toán
  2. đề học kỳ 2 toán 10 năm 2024 – 2025 trường thpt lý thái tổ – bắc ninh

đề học kỳ 2 toán 10 năm 2024 – 2025 trường thpt lý thái tổ – bắc ninh

Bạn đang xem tài liệu đề học kỳ 2 toán 10 năm 2024 – 2025 trường thpt lý thái tổ – bắc ninh được biên soạn theo đề thi toán mới nhất. Tài liệu này hệ thống hóa kiến thức một cách khoa học, phù hợp cho mọi lộ trình học từ cơ bản đến nâng cao. Hãy khai thác triệt để nội dung để bứt phá điểm số và tự tin chinh phục mọi kỳ thi nhé!

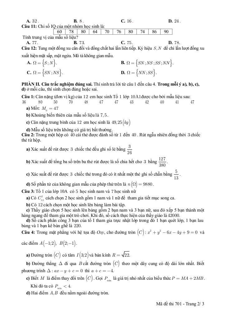
giaibaitoan.com xin giới thiệu đến quý thầy cô giáo và các em học sinh lớp 10 đề kiểm tra khảo sát cuối học kỳ 2 môn Toán 10 năm học 2024 – 2025 của trường THPT Lý Thái Tổ, tỉnh Bắc Ninh. Đề thi có cấu trúc kết hợp các hình thức đánh giá, bao gồm trắc nghiệm nhiều lựa chọn (30%), đúng sai (40%) và trả lời ngắn (30%), với thời gian làm bài 90 phút.

Đề thi này được đánh giá là có độ khó phù hợp, bám sát chương trình học và cấu trúc đề thi tốt nghiệp THPT. Việc kết hợp nhiều hình thức câu hỏi giúp đánh giá toàn diện kiến thức và kỹ năng của học sinh, từ khả năng nắm vững lý thuyết đến khả năng vận dụng vào giải quyết bài toán thực tế.

Dưới đây là phân tích chi tiết một số câu hỏi tiêu biểu trong đề thi:

  1. Câu hỏi về xác suất (Phần II): Câu hỏi này đòi hỏi học sinh phải nắm vững kiến thức về xác suất, đặc biệt là xác suất của biến cố độc lập và cách tính xác suất trong các tình huống có nhiều khả năng xảy ra. Việc thí sinh lựa chọn chính xác 2 ý đầu tiên của mỗi câu hỏi là một yếu tố quan trọng, giúp giảm bớt độ khó của bài toán. Tuy nhiên, việc tính xác suất cho các ý còn lại, khi thí sinh lựa chọn ngẫu nhiên, đòi hỏi sự cẩn thận và chính xác.
  2. Bài toán hình học (Khu đất hình tròn và cây cầu): Bài toán này kiểm tra khả năng vận dụng kiến thức về hình học, bao gồm tính chất của đường tròn, tam giác và các công thức tính độ dài đường thẳng. Để giải quyết bài toán này, học sinh cần xác định được vị trí của cây cầu ngắn nhất, có thể bằng cách sử dụng các định lý về khoảng cách từ một điểm đến một đường thẳng hoặc đường tròn.
  3. Bài toán tổ hợp (Tổ 1 lớp 10A): Dãy câu hỏi này tập trung vào kiến thức về tổ hợp, bao gồm các công thức tính số hoán vị, tổ hợp và các ứng dụng của chúng trong các bài toán đếm. Các ý a, b, c, d kiểm tra khả năng nhận biết và áp dụng đúng công thức tổ hợp trong các tình huống khác nhau. Đặc biệt, ý d đòi hỏi học sinh phải hiểu rõ sự khác biệt giữa hoán vị và tổ hợp, cũng như cách tính số cách phân công công việc cho các thành viên trong tổ.

Nhận xét chung:

  • Đề thi có sự phân hóa rõ ràng, với các câu hỏi từ dễ đến khó, giúp đánh giá đúng năng lực của từng học sinh.
  • Các câu hỏi được trình bày rõ ràng, dễ hiểu, giúp học sinh tiếp cận và giải quyết bài toán một cách hiệu quả.
  • Đề thi có tính ứng dụng cao, giúp học sinh rèn luyện kỹ năng giải quyết các bài toán thực tế.

Để hỗ trợ quý thầy cô trong công tác giảng dạy và ôn tập cho học sinh, giaibaitoan.com cung cấp file WORD của đề thi. Quý thầy cô có thể tải về tại đây:

File WORD: TẢI XUỐNG

Khởi đầu hành trình Toán THPT vững vàng với nội dung đề học kỳ 2 toán 10 năm 2024 – 2025 trường thpt lý thái tổ – bắc ninh trong chuyên mục bài tập toán lớp 10 trên nền tảng đề thi toán! Bộ bài tập lý thuyết toán thpt, được biên soạn chuyên sâu và bám sát chặt chẽ chương trình Toán lớp 10 hiện hành, cam kết tối ưu hóa toàn diện quá trình ôn luyện. Qua đó, học sinh không chỉ củng cố kiến thức cốt lõi mà còn xây dựng nền tảng vững chắc cho các năm học tiếp theo và định hướng đại học, nhờ phương pháp tiếp cận trực quan, logic và mang lại hiệu quả học tập vượt trội.
images-post/de-hoc-ky-2-toan-10-nam-2024-2025-truong-thpt-ly-thai-to-bac-ninh-1.jpgimages-post/de-hoc-ky-2-toan-10-nam-2024-2025-truong-thpt-ly-thai-to-bac-ninh-2.jpgimages-post/de-hoc-ky-2-toan-10-nam-2024-2025-truong-thpt-ly-thai-to-bac-ninh-3.jpgimages-post/de-hoc-ky-2-toan-10-nam-2024-2025-truong-thpt-ly-thai-to-bac-ninh-4.jpg

File đề học kỳ 2 toán 10 năm 2024 – 2025 trường thpt lý thái tổ – bắc ninh PDF Chi Tiết