Logo Header
  1. Môn Toán
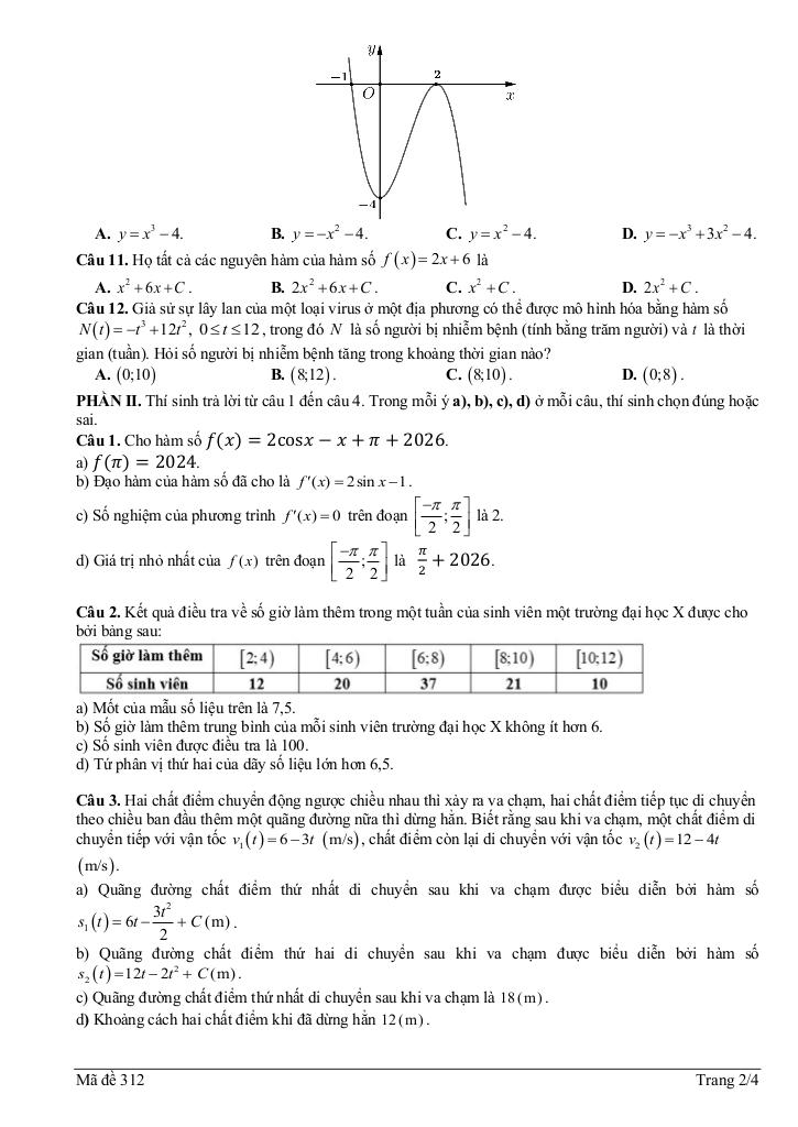
  2. đề kiểm tra lần 1 toán 12 năm 2025 – 2026 trường thpt mai anh tuấn – thanh hóa

đề kiểm tra lần 1 toán 12 năm 2025 – 2026 trường thpt mai anh tuấn – thanh hóa

Bạn đang xem tài liệu đề kiểm tra lần 1 toán 12 năm 2025 – 2026 trường thpt mai anh tuấn – thanh hóa được biên soạn theo tài liệu toán mới nhất. Tài liệu này hệ thống hóa kiến thức một cách khoa học, phù hợp cho mọi lộ trình học từ cơ bản đến nâng cao. Hãy khai thác triệt để nội dung để bứt phá điểm số và tự tin chinh phục mọi kỳ thi nhé!

Xem thêm đáp án: đề kiểm tra lần 1 toán 12 năm 2025 – 2026 trường thpt mai anh tuấn – thanh hóa

images-post/de-kiem-tra-lan-1-toan-12-nam-2025-2026-truong-thpt-mai-anh-tuan-thanh-hoa-01.jpgimages-post/de-kiem-tra-lan-1-toan-12-nam-2025-2026-truong-thpt-mai-anh-tuan-thanh-hoa-02.jpgimages-post/de-kiem-tra-lan-1-toan-12-nam-2025-2026-truong-thpt-mai-anh-tuan-thanh-hoa-03.jpgimages-post/de-kiem-tra-lan-1-toan-12-nam-2025-2026-truong-thpt-mai-anh-tuan-thanh-hoa-04.jpgimages-post/de-kiem-tra-lan-1-toan-12-nam-2025-2026-truong-thpt-mai-anh-tuan-thanh-hoa-05.jpgimages-post/de-kiem-tra-lan-1-toan-12-nam-2025-2026-truong-thpt-mai-anh-tuan-thanh-hoa-06.jpgimages-post/de-kiem-tra-lan-1-toan-12-nam-2025-2026-truong-thpt-mai-anh-tuan-thanh-hoa-07.jpgimages-post/de-kiem-tra-lan-1-toan-12-nam-2025-2026-truong-thpt-mai-anh-tuan-thanh-hoa-08.jpgimages-post/de-kiem-tra-lan-1-toan-12-nam-2025-2026-truong-thpt-mai-anh-tuan-thanh-hoa-09.jpgimages-post/de-kiem-tra-lan-1-toan-12-nam-2025-2026-truong-thpt-mai-anh-tuan-thanh-hoa-10.jpg

File đề kiểm tra lần 1 toán 12 năm 2025 – 2026 trường thpt mai anh tuấn – thanh hóa PDF Chi Tiết