Logo Header
  1. Môn Toán
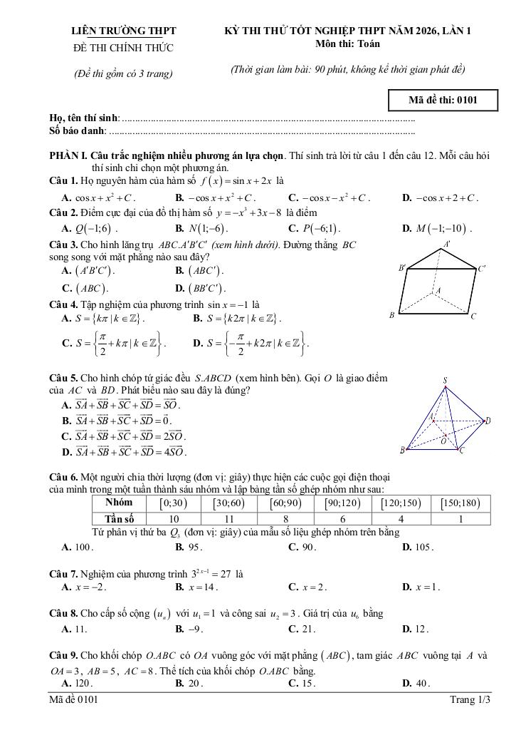
  2. đề thi thử tn thpt 2026 lần 1 môn toán liên trường thpt – hà tĩnh

đề thi thử tn thpt 2026 lần 1 môn toán liên trường thpt – hà tĩnh

Bạn đang xem tài liệu đề thi thử tn thpt 2026 lần 1 môn toán liên trường thpt – hà tĩnh được biên soạn theo học toán mới nhất. Tài liệu này hệ thống hóa kiến thức một cách khoa học, phù hợp cho mọi lộ trình học từ cơ bản đến nâng cao. Hãy khai thác triệt để nội dung để bứt phá điểm số và tự tin chinh phục mọi kỳ thi nhé!

Xem thêm đáp án: đề thi thử tn thpt 2026 lần 1 môn toán liên trường thpt – hà tĩnh

images-post/de-thi-thu-tn-thpt-2026-lan-1-mon-toan-lien-truong-thpt-ha-tinh-01.jpgimages-post/de-thi-thu-tn-thpt-2026-lan-1-mon-toan-lien-truong-thpt-ha-tinh-02.jpgimages-post/de-thi-thu-tn-thpt-2026-lan-1-mon-toan-lien-truong-thpt-ha-tinh-03.jpgimages-post/de-thi-thu-tn-thpt-2026-lan-1-mon-toan-lien-truong-thpt-ha-tinh-04.jpgimages-post/de-thi-thu-tn-thpt-2026-lan-1-mon-toan-lien-truong-thpt-ha-tinh-05.jpgimages-post/de-thi-thu-tn-thpt-2026-lan-1-mon-toan-lien-truong-thpt-ha-tinh-06.jpgimages-post/de-thi-thu-tn-thpt-2026-lan-1-mon-toan-lien-truong-thpt-ha-tinh-07.jpgimages-post/de-thi-thu-tn-thpt-2026-lan-1-mon-toan-lien-truong-thpt-ha-tinh-08.jpgimages-post/de-thi-thu-tn-thpt-2026-lan-1-mon-toan-lien-truong-thpt-ha-tinh-09.jpgimages-post/de-thi-thu-tn-thpt-2026-lan-1-mon-toan-lien-truong-thpt-ha-tinh-10.jpg

File đề thi thử tn thpt 2026 lần 1 môn toán liên trường thpt – hà tĩnh PDF Chi Tiết