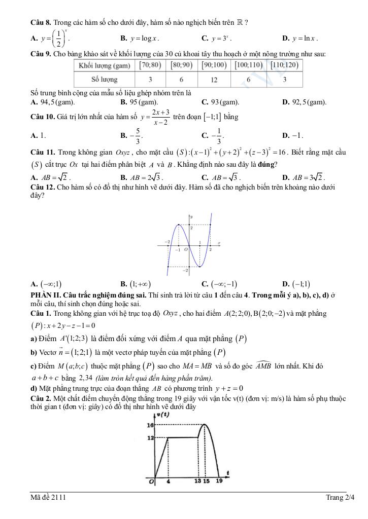
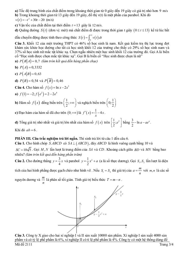
giaibaitoan.com xin giới thiệu đến quý thầy cô giáo và các em học sinh đề thi thử môn Toán tốt nghiệp THPT năm 2025 lần 2, được tổ chức bởi cụm trường THPT thành phố Chí Linh, tỉnh Hải Dương. Đề thi này là một tài liệu luyện tập hữu ích, giúp học sinh làm quen với cấu trúc đề thi và rèn luyện kỹ năng giải quyết các bài toán thuộc nhiều lĩnh vực khác nhau của chương trình Toán THPT.
Đề thi kèm theo đáp án chi tiết mã đề 2111, tạo điều kiện thuận lợi cho quá trình tự học và ôn tập của học sinh. Dưới đây là phân tích chi tiết về một số câu hỏi tiêu biểu trong đề thi:
Bài toán cụ thể: Công ty X giao cho hai xí nghiệp I và II sản xuất 10000 sản phẩm. Xí nghiệp I sản xuất 4000 sản phẩm và có tỷ lệ phế phẩm là 6%, xí nghiệp II có tỉ lệ phế phẩm là 4%. Công ty có một hệ thống dùng để phát hiện phế phẩm cho các sản phẩm của hai xí nghiệp trên. Biết rằng nếu một phế phẩm đi qua hệ thống thì nó chỉ phát hiện được 95% và hệ thống dự đoán đúng được 92%. Chọn ngẫu nhiên một sản phẩm rồi cho đi qua hệ thống. Tính xác suất để sản phẩm được chọn của xí nghiệp I biết rằng sản phẩm đó bị hệ thống báo là phế phẩm (làm tròn kết quả đến hàng phầm trăm).
Nhận xét: Đây là một bài toán thực tế, yêu cầu học sinh phải hiểu rõ các khái niệm về xác suất, xác suất có điều kiện và biết cách áp dụng công thức Bayes một cách linh hoạt. Việc phân tích kỹ đề bài và xác định đúng các sự kiện cần tính xác suất là yếu tố then chốt để giải quyết bài toán này.
Bài toán cụ thể: Hai chiếc khinh khí cầu bay lên từ cùng một địa điểm trong không gian. Sau một khoảng thời gian, chiếc thứ nhất nằm cách điểm xuất phát 3km về phía Đông và 2 km về phía Nam, đồng thời cách mặt đất 0,5 km, chiếc thứ hai nằm cách điểm xuất phát 1km về phía Bắc và 1 km về phía Tây đồng thời cách mặt đất 0,3km. Cùng thời điểm đó, một người đứng trên mặt đất và nhìn thấy hai khinh khí cầu nói trên. Biết rằng, so với các vị trí quan sát khác trên mặt đất, vị trí người đó đứng có khoảng cách đến hai khinh khí cầu nhỏ nhất. Hỏi tổng khoảng cách nhỏ nhất ấy bằng bao nhiêu kilômét? (làm tròn kết quả đến hàng phần mười).
Nhận xét: Bài toán này kiểm tra khả năng tư duy không gian và vận dụng kiến thức về hình học giải tích của học sinh. Việc tìm ra vị trí của người quan sát sao cho khoảng cách đến hai khinh khí cầu nhỏ nhất đòi hỏi học sinh phải hiểu rõ về tính đối xứng và sử dụng các công cụ toán học để giải quyết.
Bài toán cụ thể: Một cái hộp có dạng hình hộp chữ nhật có thể tích bằng 48 cm3 và chiều dài gấp đôi chiều rộng. Chất liệu làm đáy và bốn mặt bên của hộp có giá thành gấp ba lần giá thành của chất liệu làm nắp hộp. Gọi h là chiều cao của hộp để giá thành của hộp là thấp nhất. Biết h = a/b với a, b là các số nguyên dương và a/b là phân số tối giản. Tổng a2 + b2 bằng bao nhiêu?
Nhận xét: Đây là một bài toán ứng dụng thực tế, liên quan đến việc tối ưu hóa chi phí sản xuất. Học sinh cần phải xây dựng được hàm chi phí, tìm đạo hàm và giải phương trình để tìm ra giá trị của chiều cao h sao cho giá thành của hộp là thấp nhất. Bài toán này đòi hỏi học sinh phải có kiến thức vững chắc về đạo hàm và các phương pháp tối ưu hóa.
File WORD (dành cho quý thầy, cô): TẢI XUỐNG
Hy vọng đề thi thử này sẽ là một công cụ hữu ích giúp quý thầy cô giáo và các em học sinh đạt kết quả tốt nhất trong kỳ thi tốt nghiệp THPT sắp tới.
Xem thêm đáp án: đề thi thử toán tn thpt 2025 lần 2 cụm trường thpt tp chí linh – hải dương





