Logo Header
  1. Môn Toán
  2. đề thi thử toán tuyển sinh lớp 10 năm 2025 – 2026 phòng gd&đt kỳ anh – hà tĩnh

đề thi thử toán tuyển sinh lớp 10 năm 2025 – 2026 phòng gd&đt kỳ anh – hà tĩnh

Bạn đang xem tài liệu đề thi thử toán tuyển sinh lớp 10 năm 2025 – 2026 phòng gd&đt kỳ anh – hà tĩnh được biên soạn theo tài liệu toán mới nhất. Tài liệu này hệ thống hóa kiến thức một cách khoa học, phù hợp cho mọi lộ trình học từ cơ bản đến nâng cao. Hãy khai thác triệt để nội dung để bứt phá điểm số và tự tin chinh phục mọi kỳ thi nhé!

giaibaitoan.com xin giới thiệu đến quý thầy cô giáo và các em học sinh lớp 9 một đề thi thử môn Toán có giá trị cao, được thiết kế để chuẩn bị cho kỳ thi tuyển sinh vào lớp 10 THPT năm học 2025 – 2026. Đề thi này do Phòng Giáo dục và Đào tạo UBND huyện Kỳ Anh, tỉnh Hà Tĩnh biên soạn, với cấu trúc gồm 8 câu trắc nghiệm và 6 câu tự luận, thời gian làm bài 90 phút. Điểm đặc biệt của đề thi là có kèm theo đáp án chi tiết và hướng dẫn chấm điểm, giúp học sinh tự đánh giá năng lực và thầy cô có thêm tài liệu tham khảo hữu ích.

Đề thi thử này không chỉ là một bài kiểm tra kiến thức, mà còn là cơ hội để học sinh rèn luyện kỹ năng giải quyết vấn đề, tư duy logic và khả năng áp dụng công thức vào thực tế. Dưới đây là phân tích chi tiết về một số câu hỏi tiêu biểu:

  1. Câu 1 (Xác suất): Bài toán về xác suất với tình huống lấy bi từ túi là một dạng bài quen thuộc trong chương trình Toán lớp 9. Tuy nhiên, điểm cần lưu ý là việc lấy viên bi lần đầu không trả lại vào túi, điều này ảnh hưởng đến xác suất của lần lấy thứ hai. Học sinh cần nắm vững công thức tính xác suất có điều kiện để giải quyết bài toán này một cách chính xác.
  2. Câu 2 (Bài toán công việc): Bài toán về công việc đòi hỏi học sinh phải hiểu rõ mối quan hệ giữa số công nhân, số ngày làm việc và tổng số ngày công. Việc sử dụng phương pháp giải bài toán bằng cách lập phương trình là một lựa chọn hiệu quả. Bài toán này giúp học sinh củng cố kiến thức về đại số và kỹ năng giải phương trình.
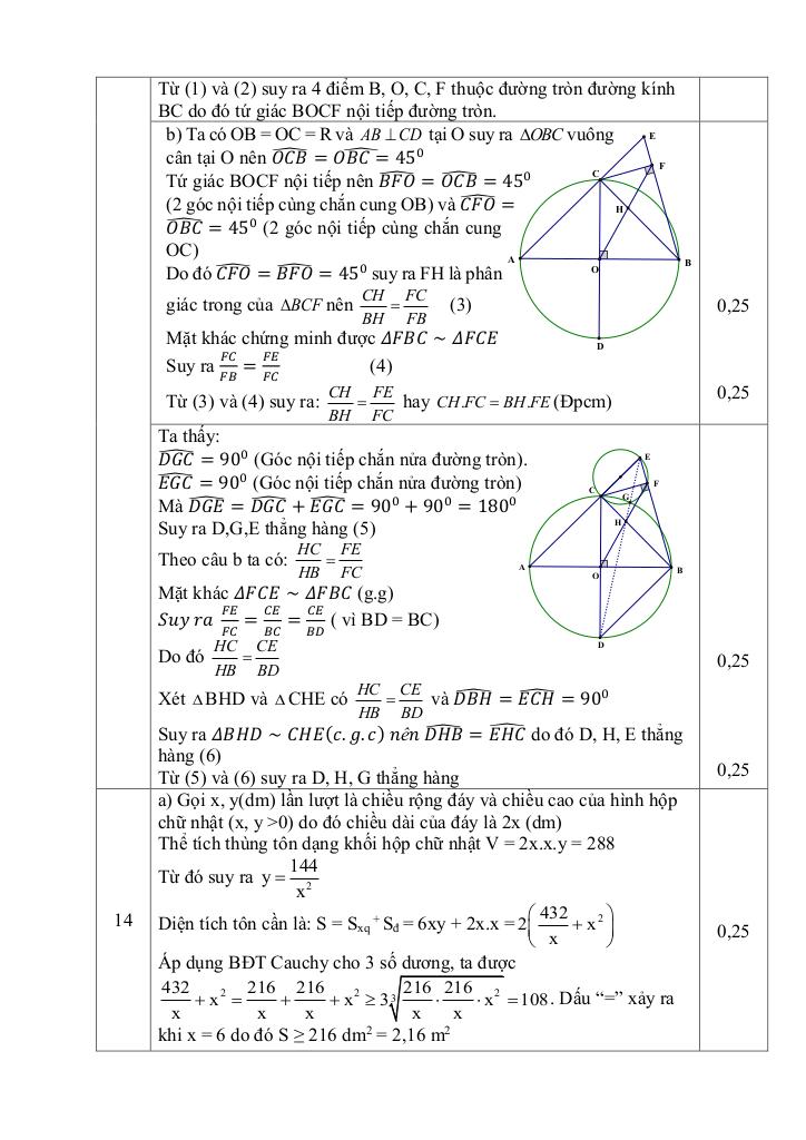
  3. Câu 3 (Bài toán tối ưu): Bài toán về thùng tôn không nắp là một bài toán tối ưu hóa, yêu cầu học sinh phải vận dụng kiến thức về hình học không gian, diện tích bề mặt và kỹ năng giải bài toán bằng phương pháp tối ưu. Để giải quyết bài toán này, học sinh cần thiết lập hàm biểu diễn chi phí làm thùng tôn và tìm giá trị nhỏ nhất của hàm số đó. Đây là một dạng bài toán nâng cao, đòi hỏi tư duy sáng tạo và khả năng phân tích tốt.

Đánh giá chung:

Đề thi thử Toán tuyển sinh lớp 10 năm 2025 – 2026 của Phòng GD&ĐT Kỳ Anh – Hà Tĩnh có độ khó tương đối, bao gồm các câu hỏi từ cơ bản đến nâng cao, giúp học sinh làm quen với nhiều dạng bài khác nhau. Đề thi tập trung vào các chủ đề quan trọng như xác suất, bài toán công việc và bài toán tối ưu. Việc có đáp án chi tiết và hướng dẫn chấm điểm là một lợi thế lớn, giúp học sinh và thầy cô có thể tự đánh giá và cải thiện kết quả.

Nhận xét:

Đề thi này là một tài liệu tham khảo hữu ích cho học sinh lớp 9 đang chuẩn bị cho kỳ thi tuyển sinh vào lớp 10. Để đạt kết quả tốt nhất, học sinh cần nắm vững kiến thức cơ bản, rèn luyện kỹ năng giải bài tập và làm quen với nhiều dạng bài khác nhau. Ngoài ra, việc tham khảo các đề thi thử khác cũng là một cách hiệu quả để nâng cao năng lực và tự tin hơn trong kỳ thi.

Chinh phục các kỳ thi Toán lớp 9 quan trọng với nội dung đề thi thử toán tuyển sinh lớp 10 năm 2025 – 2026 phòng gd&đt kỳ anh – hà tĩnh trong chuyên mục sgk toán 9 trên nền tảng tài liệu toán! Bộ bài tập toán thcs, được biên soạn chuyên sâu, bám sát cấu trúc đề thi và chương trình sách giáo khoa hiện hành, cam kết tối ưu hóa toàn diện lộ trình ôn luyện. Qua đó, học sinh không chỉ củng cố vững chắc kiến thức mà còn thuần thục các dạng bài thi, tự tin đạt điểm cao, nhờ phương pháp tiếp cận trực quan, khoa học và mang lại hiệu quả học tập vượt trội.
images-post/de-thi-thu-toan-tuyen-sinh-lop-10-nam-2025-2026-phong-gd-dt-ky-anh-ha-tinh-01.jpgimages-post/de-thi-thu-toan-tuyen-sinh-lop-10-nam-2025-2026-phong-gd-dt-ky-anh-ha-tinh-02.jpgimages-post/de-thi-thu-toan-tuyen-sinh-lop-10-nam-2025-2026-phong-gd-dt-ky-anh-ha-tinh-03.jpgimages-post/de-thi-thu-toan-tuyen-sinh-lop-10-nam-2025-2026-phong-gd-dt-ky-anh-ha-tinh-04.jpgimages-post/de-thi-thu-toan-tuyen-sinh-lop-10-nam-2025-2026-phong-gd-dt-ky-anh-ha-tinh-05.jpgimages-post/de-thi-thu-toan-tuyen-sinh-lop-10-nam-2025-2026-phong-gd-dt-ky-anh-ha-tinh-06.jpgimages-post/de-thi-thu-toan-tuyen-sinh-lop-10-nam-2025-2026-phong-gd-dt-ky-anh-ha-tinh-07.jpgimages-post/de-thi-thu-toan-tuyen-sinh-lop-10-nam-2025-2026-phong-gd-dt-ky-anh-ha-tinh-08.jpgimages-post/de-thi-thu-toan-tuyen-sinh-lop-10-nam-2025-2026-phong-gd-dt-ky-anh-ha-tinh-09.jpgimages-post/de-thi-thu-toan-tuyen-sinh-lop-10-nam-2025-2026-phong-gd-dt-ky-anh-ha-tinh-10.jpg

File đề thi thử toán tuyển sinh lớp 10 năm 2025 – 2026 phòng gd&đt kỳ anh – hà tĩnh PDF Chi Tiết