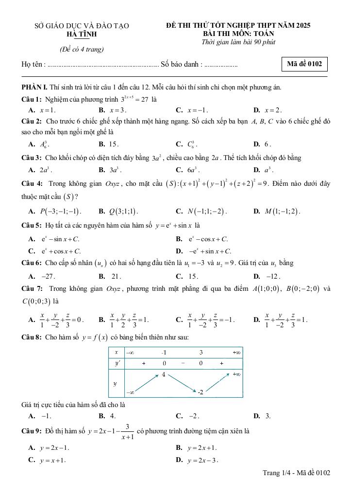
giaibaitoan.com xin giới thiệu đến quý thầy cô giáo và các em học sinh lớp 12 đề thi thử tốt nghiệp THPT năm 2025 môn Toán do Sở Giáo dục và Đào tạo tỉnh Hà Tĩnh tổ chức. Kỳ thi chính thức diễn ra vào ngày 23 tháng 05 năm 2025. Đề thi này được đánh giá là có cấu trúc bám sát định hướng đề thi tốt nghiệp THPT, đồng thời có độ phân hóa hợp lý, giúp học sinh làm quen với áp lực phòng thi và đánh giá năng lực bản thân.
Đề thi thử môn Toán Hà Tĩnh năm 2025 mã đề 0101 – 0102 bao gồm các câu hỏi thuộc nhiều lĩnh vực kiến thức khác nhau, đòi hỏi học sinh phải có sự nắm vững kiến thức nền tảng và kỹ năng giải quyết vấn đề linh hoạt. Dưới đây là một số nhận xét chi tiết về các câu hỏi trích dẫn:
Câu hỏi này dựa trên một tình huống thực tế về mối liên hệ giữa hút thuốc lá và nguy cơ ung thư phổi. Đây là một ví dụ điển hình cho việc ứng dụng kiến thức xác suất thống kê vào phân tích dữ liệu và đưa ra kết luận. Các ý a, b, c, d yêu cầu học sinh vận dụng các công thức và định lý về xác suất có điều kiện, xác suất toàn phần để tính toán và so sánh. Đặc biệt, ý d đòi hỏi học sinh phải hiểu rõ ý nghĩa của việc so sánh nguy cơ mắc bệnh giữa hai nhóm đối tượng.
Câu hỏi này kết hợp kiến thức về hình học phẳng (lục giác đều, đường tròn) và hình học giải tích (parabol). Để giải quyết bài toán này, học sinh cần phải:
Bài toán này đòi hỏi học sinh có khả năng tư duy không gian tốt và kỹ năng tính toán chính xác.
Câu hỏi này liên quan đến việc tính xác suất của các biến cố liên quan đến thời tiết ở hai huyện A và B. Để giải quyết bài toán này, học sinh cần phải:
Bài toán này giúp học sinh rèn luyện kỹ năng phân tích và giải quyết các bài toán xác suất thực tế.
Lưu ý: Đề thi được cung cấp kèm theo đáp án và lời giải chi tiết, giúp học sinh tự học và ôn tập hiệu quả. Quý thầy cô có thể tải file WORD của đề thi tại đây: TẢI XUỐNG
giaibaitoan.com hy vọng đề thi thử này sẽ là tài liệu hữu ích cho quý thầy cô và các em học sinh trong quá trình chuẩn bị cho kỳ thi tốt nghiệp THPT năm 2025.
Xem thêm đáp án: đề thi thử tốt nghiệp thpt 2025 môn toán sở gd&đt hà tĩnh













