Logo Header
  1. Môn Toán
  2. chuyên đề rút gọn biểu thức và bài toán liên quan ôn thi vào lớp 10

chuyên đề rút gọn biểu thức và bài toán liên quan ôn thi vào lớp 10

Bạn đang xem tài liệu chuyên đề rút gọn biểu thức và bài toán liên quan ôn thi vào lớp 10 được biên soạn theo môn toán mới nhất. Tài liệu này hệ thống hóa kiến thức một cách khoa học, phù hợp cho mọi lộ trình học từ cơ bản đến nâng cao. Hãy khai thác triệt để nội dung để bứt phá điểm số và tự tin chinh phục mọi kỳ thi nhé!

Tài liệu ôn tập chuyên đề "Rút gọn biểu thức và bài toán liên quan" – Hướng dẫn ôn thi tuyển sinh lớp 10 THPT

Tài liệu học tập này, với độ dài 51 trang, được biên soạn nhằm mục đích hỗ trợ học sinh ôn luyện và củng cố kiến thức trọng tâm về chủ đề "Rút gọn biểu thức và bài toán liên quan", một chuyên đề thường xuyên xuất hiện trong các kỳ thi tuyển sinh vào lớp 10 THPT. Tài liệu không chỉ cung cấp nền tảng lý thuyết vững chắc mà còn tập trung vào việc rèn luyện kỹ năng giải quyết các dạng bài tập khác nhau, từ cơ bản đến nâng cao, giúp học sinh tự tin đối mặt với các câu hỏi trong phòng thi.

Cấu trúc tài liệu được chia thành ba phần chính:

  1. A. Kiến thức cơ bản cần nắm vững: Phần này hệ thống hóa những kiến thức nền tảng, là tiền đề quan trọng để giải quyết các bài toán phức tạp hơn.
    • 1. Căn thức bậc 2: Định nghĩa, điều kiện xác định, các tính chất và quy tắc biến đổi căn thức bậc hai được trình bày rõ ràng, dễ hiểu.
    • 2. Căn thức bậc 3: Tương tự như căn thức bậc 2, phần này tập trung vào lý thuyết và các quy tắc cơ bản của căn thức bậc ba.
  2. B. Phân loại và phương pháp giải câu tập: Đây là phần trọng tâm của tài liệu, nơi học sinh được làm quen với các dạng bài tập thường gặp và phương pháp giải quyết hiệu quả.
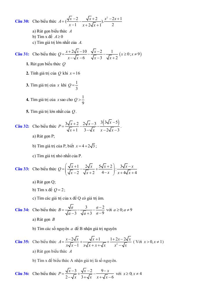
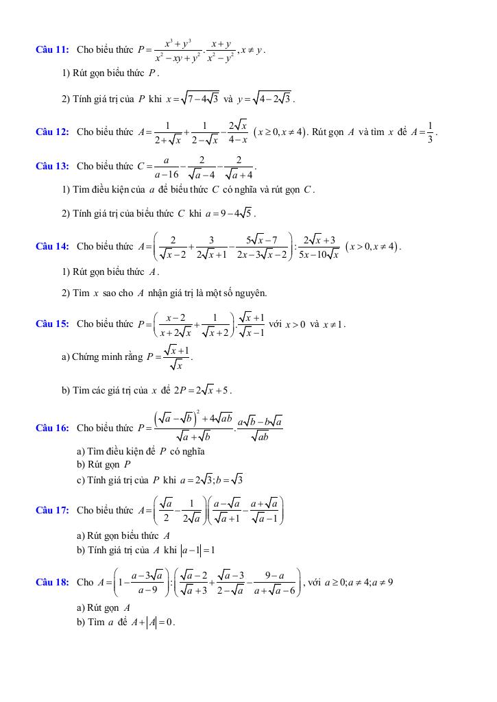
    • + Dạng 1: Rút gọn biểu thức không chứa biến: Dạng bài tập này giúp học sinh nắm vững các quy tắc biến đổi căn thức và thực hành tính toán một cách chính xác.
    • + Dạng 2: Tìm điều kiện xác định của biểu thức: Việc xác định điều kiện xác định là bước quan trọng trước khi tiến hành bất kỳ phép biến đổi nào trên biểu thức. Dạng bài tập này giúp học sinh rèn luyện kỹ năng này.
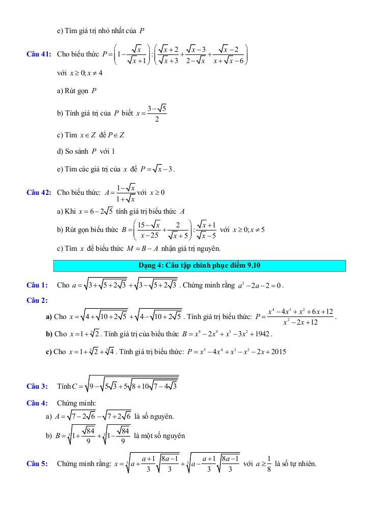
    • + Dạng 3: Rút gọn biểu thức chứa biến và các câu hỏi phụ: Đây là dạng bài tập phổ biến trong các kỳ thi. Tài liệu cung cấp các phương pháp tiếp cận và giải quyết hiệu quả, đồng thời hướng dẫn học sinh cách xử lý các câu hỏi phụ liên quan.
    • + Dạng 4: Câu tập chinh phục điểm 9 – 10: Dạng bài tập này dành cho những học sinh có lực học khá giỏi, muốn thử thách bản thân và đạt điểm cao trong kỳ thi. Các bài tập này thường có độ khó cao và đòi hỏi sự sáng tạo trong giải quyết.
  3. C. Đáp án và lời giải chi tiết: Tất cả các bài tập trong tài liệu đều có đáp án và lời giải chi tiết, giúp học sinh tự kiểm tra và đánh giá kết quả học tập của mình. Lời giải được trình bày rõ ràng, logic, giúp học sinh hiểu rõ các bước giải và rút ra kinh nghiệm cho bản thân.

Đánh giá và nhận xét:

Tài liệu này có cấu trúc rõ ràng, logic, bao gồm đầy đủ các kiến thức cần thiết và các dạng bài tập thường gặp. Việc phân loại bài tập theo mức độ khó giúp học sinh dễ dàng lựa chọn bài tập phù hợp với trình độ của mình. Đặc biệt, lời giải chi tiết giúp học sinh tự học hiệu quả và khắc phục những khó khăn trong quá trình ôn tập. Tài liệu này là một nguồn tài liệu tham khảo hữu ích cho học sinh đang chuẩn bị cho kỳ thi tuyển sinh lớp 10 THPT.

Lưu ý: Để đạt hiệu quả tốt nhất, học sinh nên kết hợp việc học lý thuyết với việc thực hành giải bài tập một cách thường xuyên và hệ thống.

Chinh phục các kỳ thi Toán lớp 9 quan trọng với nội dung chuyên đề rút gọn biểu thức và bài toán liên quan ôn thi vào lớp 10 trong chuyên mục giải toán 9 trên nền tảng môn toán! Bộ bài tập toán thcs, được biên soạn chuyên sâu, bám sát cấu trúc đề thi và chương trình sách giáo khoa hiện hành, cam kết tối ưu hóa toàn diện lộ trình ôn luyện. Qua đó, học sinh không chỉ củng cố vững chắc kiến thức mà còn thuần thục các dạng bài thi, tự tin đạt điểm cao, nhờ phương pháp tiếp cận trực quan, khoa học và mang lại hiệu quả học tập vượt trội.
images-post/chuyen-de-rut-gon-bieu-thuc-va-bai-toan-lien-quan-on-thi-vao-lop-10-01.jpgimages-post/chuyen-de-rut-gon-bieu-thuc-va-bai-toan-lien-quan-on-thi-vao-lop-10-02.jpgimages-post/chuyen-de-rut-gon-bieu-thuc-va-bai-toan-lien-quan-on-thi-vao-lop-10-03.jpgimages-post/chuyen-de-rut-gon-bieu-thuc-va-bai-toan-lien-quan-on-thi-vao-lop-10-04.jpgimages-post/chuyen-de-rut-gon-bieu-thuc-va-bai-toan-lien-quan-on-thi-vao-lop-10-05.jpgimages-post/chuyen-de-rut-gon-bieu-thuc-va-bai-toan-lien-quan-on-thi-vao-lop-10-06.jpgimages-post/chuyen-de-rut-gon-bieu-thuc-va-bai-toan-lien-quan-on-thi-vao-lop-10-07.jpgimages-post/chuyen-de-rut-gon-bieu-thuc-va-bai-toan-lien-quan-on-thi-vao-lop-10-08.jpgimages-post/chuyen-de-rut-gon-bieu-thuc-va-bai-toan-lien-quan-on-thi-vao-lop-10-09.jpgimages-post/chuyen-de-rut-gon-bieu-thuc-va-bai-toan-lien-quan-on-thi-vao-lop-10-10.jpg

File chuyên đề rút gọn biểu thức và bài toán liên quan ôn thi vào lớp 10 PDF Chi Tiết