Logo Header
  1. Môn Toán
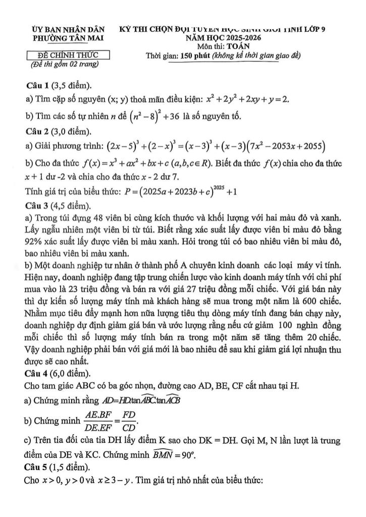
  2. đề chọn đội tuyển hsg toán 9 năm 2025 – 2026 phường tân mai – nghệ an

đề chọn đội tuyển hsg toán 9 năm 2025 – 2026 phường tân mai – nghệ an

Bạn đang xem tài liệu đề chọn đội tuyển hsg toán 9 năm 2025 – 2026 phường tân mai – nghệ an được biên soạn theo môn toán mới nhất. Tài liệu này hệ thống hóa kiến thức một cách khoa học, phù hợp cho mọi lộ trình học từ cơ bản đến nâng cao. Hãy khai thác triệt để nội dung để bứt phá điểm số và tự tin chinh phục mọi kỳ thi nhé!
Chinh phục các kỳ thi Toán lớp 9 quan trọng với nội dung đề chọn đội tuyển hsg toán 9 năm 2025 – 2026 phường tân mai – nghệ an trong chuyên mục giải toán 9 trên nền tảng môn toán! Bộ bài tập lý thuyết toán thcs, được biên soạn chuyên sâu, bám sát cấu trúc đề thi và chương trình sách giáo khoa hiện hành, cam kết tối ưu hóa toàn diện lộ trình ôn luyện. Qua đó, học sinh không chỉ củng cố vững chắc kiến thức mà còn thuần thục các dạng bài thi, tự tin đạt điểm cao, nhờ phương pháp tiếp cận trực quan, khoa học và mang lại hiệu quả học tập vượt trội.
images-post/de-chon-doi-tuyen-hsg-toan-9-nam-2025-2026-phuong-tan-mai-nghe-an-1.jpgimages-post/de-chon-doi-tuyen-hsg-toan-9-nam-2025-2026-phuong-tan-mai-nghe-an-2.jpg

File đề chọn đội tuyển hsg toán 9 năm 2025 – 2026 phường tân mai – nghệ an PDF Chi Tiết