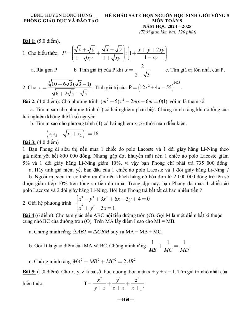
giaibaitoan.com xin giới thiệu đến quý thầy cô giáo và các em học sinh lớp 9 đề khảo sát chọn nguồn học sinh giỏi vòng 5 môn Toán 9 năm học 2024 – 2025 do Phòng Giáo dục và Đào tạo UBND huyện Đông Hưng, tỉnh Thái Bình tổ chức. Đề thi được đánh giá là có độ khó phù hợp, bám sát chương trình học và có tính phân loại học sinh tốt. Điểm đặc biệt của đề thi là sự kết hợp giữa các dạng bài tập quen thuộc và một số câu hỏi đòi hỏi tư duy sáng tạo, vận dụng kiến thức tổng hợp.
Đề thi đi kèm với đáp án, lời giải chi tiết và hướng dẫn chấm điểm, hỗ trợ tối đa cho quá trình ôn luyện và tự học của học sinh. Dưới đây là nội dung chi tiết của đề thi:
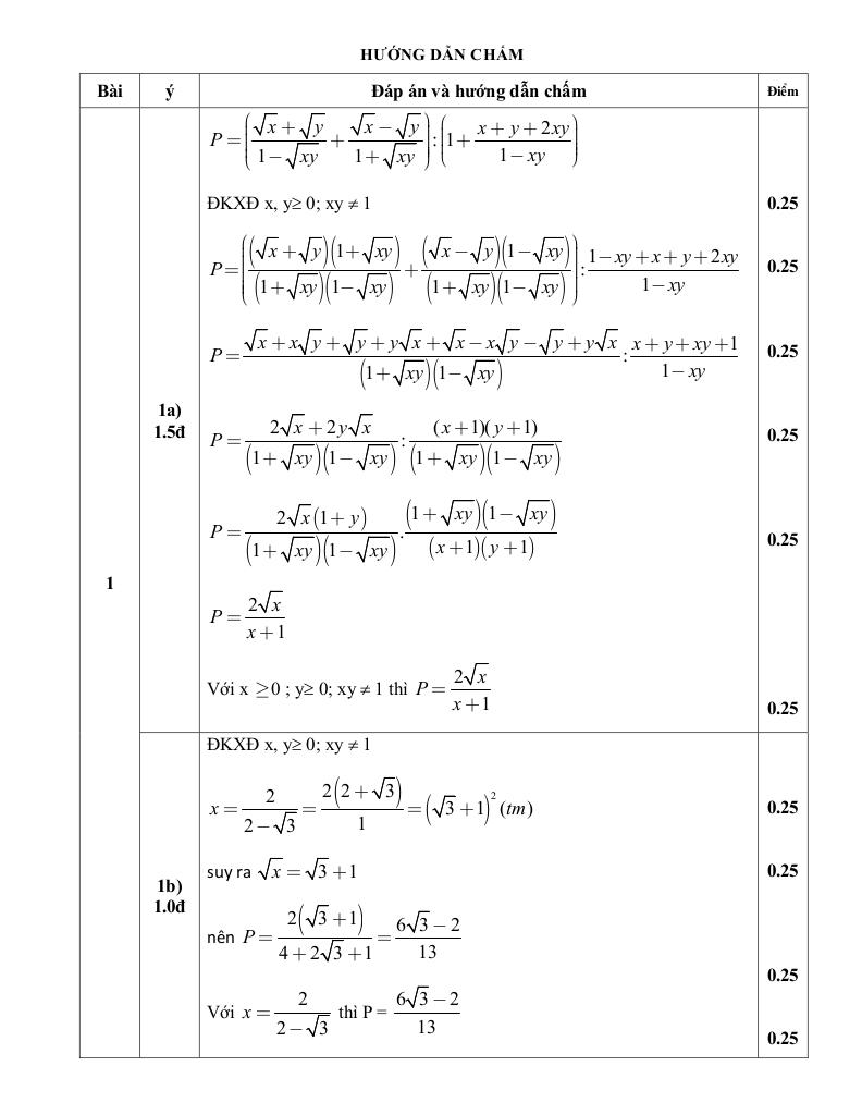
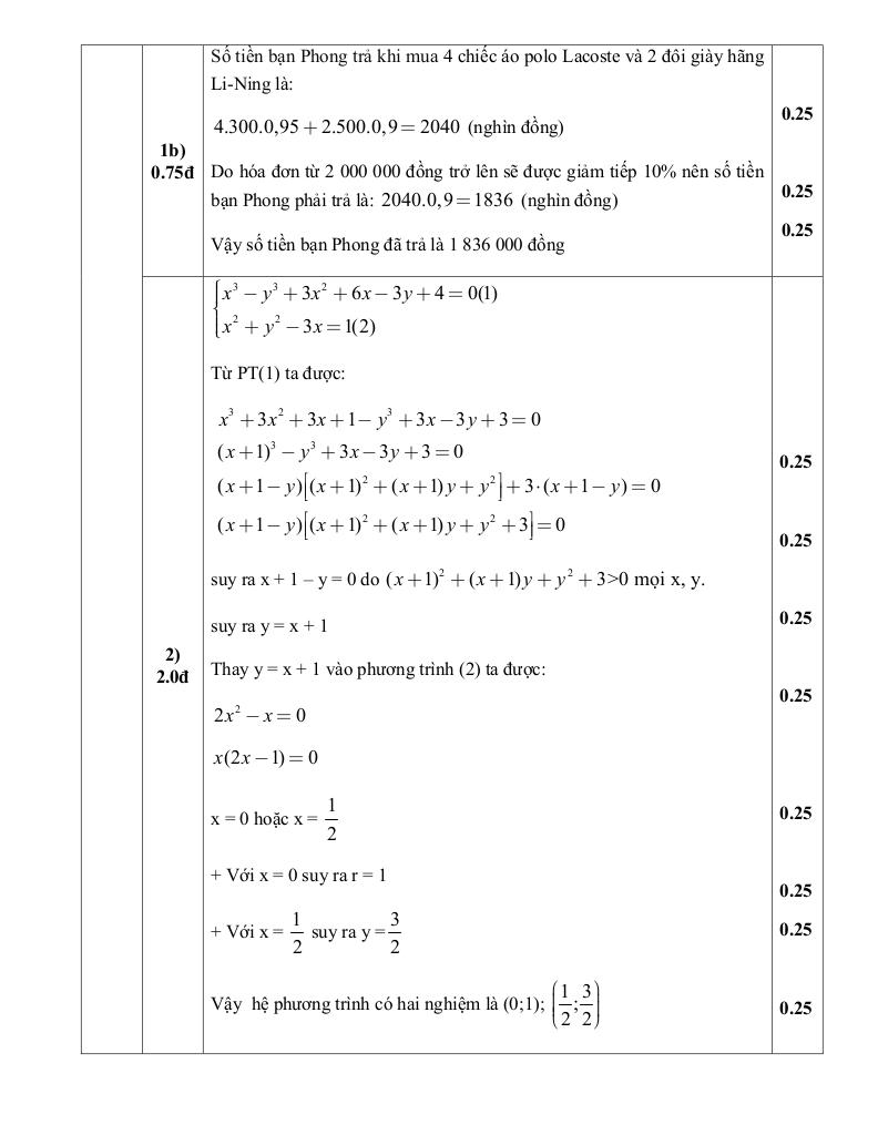
Bài toán đưa ra tình huống mua sắm quen thuộc, yêu cầu học sinh xây dựng phương trình để giải quyết. Đây là một dạng bài tập thường gặp trong các kỳ thi học sinh giỏi, giúp đánh giá khả năng vận dụng toán học vào thực tế của học sinh.
Nhận xét: Bài toán này kiểm tra kỹ năng giải phương trình bậc nhất một ẩn và khả năng đọc hiểu đề bài, phân tích thông tin để đưa ra lời giải chính xác.
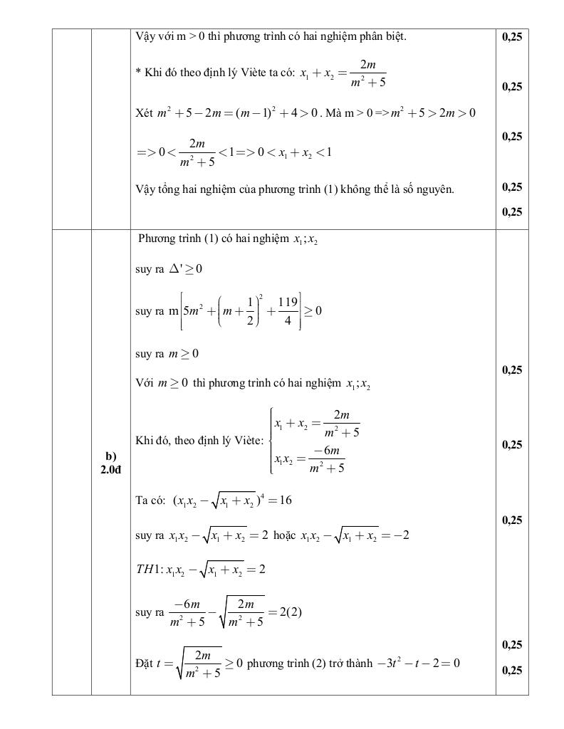
Bài toán tập trung vào việc xét điều kiện có nghiệm của phương trình bậc hai và các tính chất của nghiệm. Đây là một trong những chủ đề quan trọng của chương trình Toán 9.
Cho phương trình (m2 + 5)x2 – 2mx – 6m = 0 (1) với m là tham số.
Nhận xét: Bài toán này đòi hỏi học sinh nắm vững kiến thức về biệt thức delta, điều kiện có nghiệm của phương trình bậc hai, công thức tính tổng và tích của hai nghiệm. Việc chứng minh tổng hai nghiệm không thể là số nguyên đòi hỏi tư duy logic và kỹ năng biến đổi đại số tốt.
Bài toán liên quan đến tam giác đều nội tiếp đường tròn, sử dụng các tính chất của đường tròn và tam giác đều để chứng minh các mối quan hệ hình học. Đây là một dạng bài tập thường xuất hiện trong các kỳ thi học sinh giỏi, đòi hỏi học sinh có kiến thức vững chắc về hình học và khả năng suy luận logic.
Cho tam giác đều ABC nội tiếp đường tròn (O). Gọi M là một điểm bất kì thuộc cung nhỏ BC của đường tròn (O). Trên MA lấy điểm I sao cho MI = MB.
Nhận xét: Bài toán này đòi hỏi học sinh nắm vững các tính chất của tam giác đều, đường tròn, góc nội tiếp, góc tạo bởi tiếp tuyến và dây cung. Các chứng minh trong bài toán này có thể sử dụng nhiều phương pháp khác nhau, như tam giác đồng dạng, hệ thức lượng trong tam giác vuông, định lý Pitago,…
Đánh giá chung: Đề thi khảo sát chọn học sinh giỏi vòng 5 Toán 9 năm 2024 – 2025 huyện Đông Hưng, Thái Bình là một đề thi chất lượng, có tính phân loại học sinh tốt. Đề thi bao gồm các dạng bài tập quen thuộc nhưng được trình bày dưới một góc độ mới, đòi hỏi học sinh phải có kiến thức vững chắc, kỹ năng giải quyết vấn đề tốt và khả năng tư duy sáng tạo. Đây là một tài liệu tham khảo hữu ích cho các em học sinh đang chuẩn bị cho các kỳ thi học sinh giỏi Toán 9.








