Logo Header
  1. Môn Toán
  2. đề cương cuối kỳ 2 toán 12 năm 2024 – 2025 trường thpt trung nghĩa – phú thọ

đề cương cuối kỳ 2 toán 12 năm 2024 – 2025 trường thpt trung nghĩa – phú thọ

Bạn đang xem tài liệu đề cương cuối kỳ 2 toán 12 năm 2024 – 2025 trường thpt trung nghĩa – phú thọ được biên soạn theo toán math mới nhất. Tài liệu này hệ thống hóa kiến thức một cách khoa học, phù hợp cho mọi lộ trình học từ cơ bản đến nâng cao. Hãy khai thác triệt để nội dung để bứt phá điểm số và tự tin chinh phục mọi kỳ thi nhé!

giaibaitoan.com xin giới thiệu đến quý thầy cô giáo và các em học sinh lớp 12 đề cương ôn tập kiểm tra cuối học kỳ 2 môn Toán 12 năm học 2024 – 2025 của trường THPT Trung Nghĩa, tỉnh Phú Thọ. Đây là tài liệu hữu ích giúp học sinh hệ thống kiến thức và rèn luyện kỹ năng giải đề, chuẩn bị tốt nhất cho kỳ kiểm tra sắp tới.

Đề cương được xây dựng với cấu trúc đa dạng, bao gồm bốn phần chính:

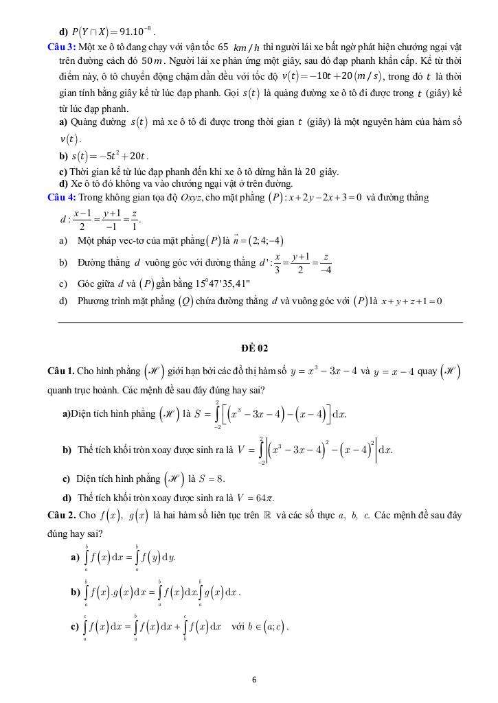
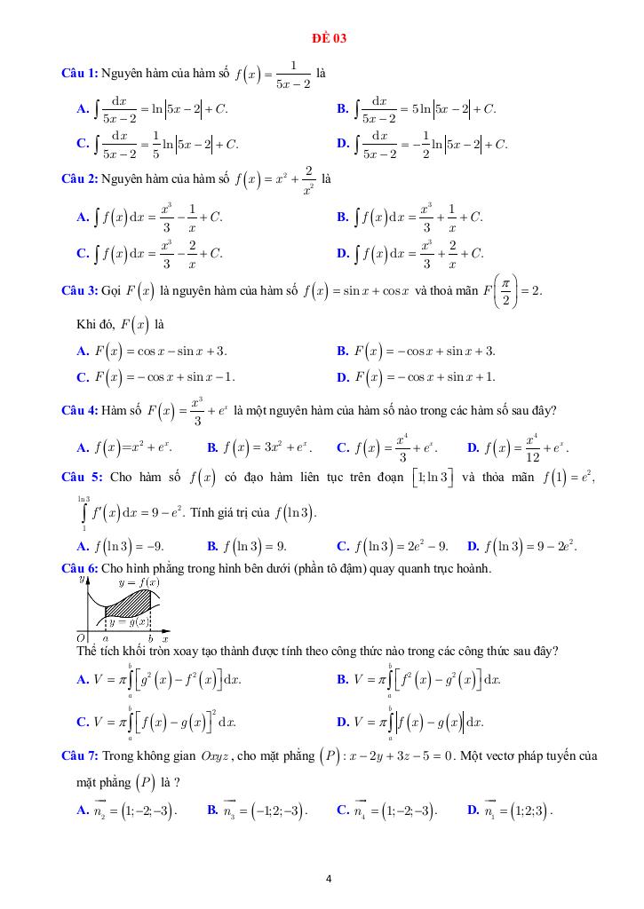
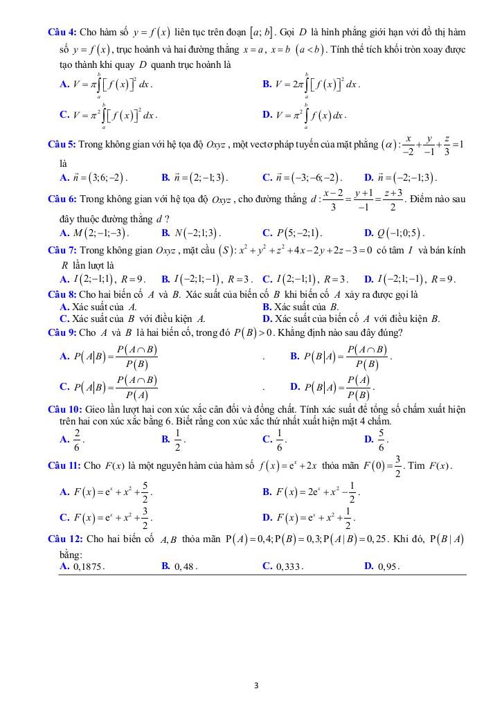
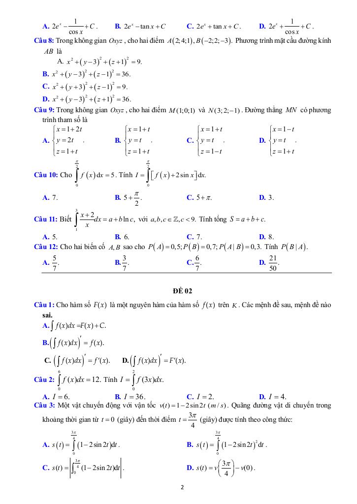
  1. Phần I: Dạng Thức 1 – Câu Trắc Nghiệm Nhiều Phương Án Lựa Chọn. Dạng bài tập này tập trung vào việc kiểm tra khả năng nắm vững kiến thức lý thuyết, công thức và kỹ năng vận dụng nhanh các phương pháp giải toán cơ bản.
  2. Phần II: Dạng Thức 2 – Câu Trắc Nghiệm Đúng / Sai. Dạng câu hỏi này đòi hỏi học sinh phải có sự hiểu biết sâu sắc về các định nghĩa, định lý và tính chất toán học, đồng thời khả năng phân tích và đánh giá tính chính xác của các phát biểu.
  3. Phần III: Dạng Thức 3 – Câu Trắc Nghiệm Trả Lời Ngắn. Dạng bài tập này yêu cầu học sinh không chỉ nắm vững kiến thức mà còn phải trình bày ngắn gọn, chính xác kết quả tính toán hoặc các bước giải quyết vấn đề.
  4. Phần IV: Dạng Thức 4 – Tự Luận. Đây là phần quan trọng để đánh giá khả năng vận dụng kiến thức một cách linh hoạt, sáng tạo và trình bày lời giải một cách logic, chặt chẽ của học sinh.

Đánh giá và nhận xét:

Cấu trúc đề cương đa dạng, bao gồm cả trắc nghiệm và tự luận, giúp đánh giá toàn diện năng lực của học sinh. Việc phân chia thành các dạng thức cụ thể giúp học sinh dễ dàng xác định điểm mạnh, điểm yếu và tập trung ôn luyện phù hợp. Đề cương này đặc biệt hữu ích cho cả giáo viên trong việc xây dựng kế hoạch giảng dạy và học sinh trong việc tự học, tự kiểm tra kiến thức.

File WORD (dành cho quý thầy, cô): TẢI XUỐNG

Chinh phục điểm cao Kỳ thi Tốt nghiệp THPT Quốc gia môn Toán, rộng mở cánh cửa Đại học với nội dung đề cương cuối kỳ 2 toán 12 năm 2024 – 2025 trường thpt trung nghĩa – phú thọ trong chuyên mục giải sgk toán 12 trên nền tảng toán math! Bộ bài tập toán thpt, được biên soạn chuyên sâu, bám sát cấu trúc đề thi và chương trình Toán 12, cam kết tối ưu hóa toàn diện lộ trình ôn luyện. Qua đó, học sinh không chỉ làm chủ mọi dạng bài thi mà còn trang bị chiến thuật làm bài hiệu quả, tự tin đạt kết quả đột phá, tạo nền tảng vững chắc cho Kỳ thi Tốt nghiệp THPT Quốc gia và hành trang vững vàng vào đại học, nhờ phương pháp tiếp cận trực quan, khoa học và mang lại hiệu quả học tập vượt trội.
images-post/de-cuong-cuoi-ky-2-toan-12-nam-2024-2025-truong-thpt-trung-nghia-phu-tho-01.jpgimages-post/de-cuong-cuoi-ky-2-toan-12-nam-2024-2025-truong-thpt-trung-nghia-phu-tho-02.jpgimages-post/de-cuong-cuoi-ky-2-toan-12-nam-2024-2025-truong-thpt-trung-nghia-phu-tho-03.jpgimages-post/de-cuong-cuoi-ky-2-toan-12-nam-2024-2025-truong-thpt-trung-nghia-phu-tho-04.jpgimages-post/de-cuong-cuoi-ky-2-toan-12-nam-2024-2025-truong-thpt-trung-nghia-phu-tho-05.jpgimages-post/de-cuong-cuoi-ky-2-toan-12-nam-2024-2025-truong-thpt-trung-nghia-phu-tho-06.jpgimages-post/de-cuong-cuoi-ky-2-toan-12-nam-2024-2025-truong-thpt-trung-nghia-phu-tho-07.jpgimages-post/de-cuong-cuoi-ky-2-toan-12-nam-2024-2025-truong-thpt-trung-nghia-phu-tho-08.jpgimages-post/de-cuong-cuoi-ky-2-toan-12-nam-2024-2025-truong-thpt-trung-nghia-phu-tho-09.jpgimages-post/de-cuong-cuoi-ky-2-toan-12-nam-2024-2025-truong-thpt-trung-nghia-phu-tho-10.jpg

File đề cương cuối kỳ 2 toán 12 năm 2024 – 2025 trường thpt trung nghĩa – phú thọ PDF Chi Tiết

TÌM KIẾM THEO TỪ KHÓA