Logo Header
  1. Môn Toán
  2. đề cương học kì 2 toán 11 năm 2024 – 2025 trường thpt chu văn an – hà nội

đề cương học kì 2 toán 11 năm 2024 – 2025 trường thpt chu văn an – hà nội

Bạn đang xem tài liệu đề cương học kì 2 toán 11 năm 2024 – 2025 trường thpt chu văn an – hà nội được biên soạn theo tài liệu toán mới nhất. Tài liệu này hệ thống hóa kiến thức một cách khoa học, phù hợp cho mọi lộ trình học từ cơ bản đến nâng cao. Hãy khai thác triệt để nội dung để bứt phá điểm số và tự tin chinh phục mọi kỳ thi nhé!

giaibaitoan.com xin trân trọng giới thiệu đến quý thầy cô giáo và các em học sinh lớp 11 đề cương ôn tập kiểm tra cuối học kỳ 2 môn Toán 11 năm học 2024 – 2025 của trường THPT Chu Văn An, thành phố Hà Nội. Đây là một tài liệu quan trọng giúp học sinh hệ thống kiến thức và rèn luyện kỹ năng giải đề trước kỳ kiểm tra quan trọng.

Đề cương tập trung vào ba chủ đề chính, bao gồm:

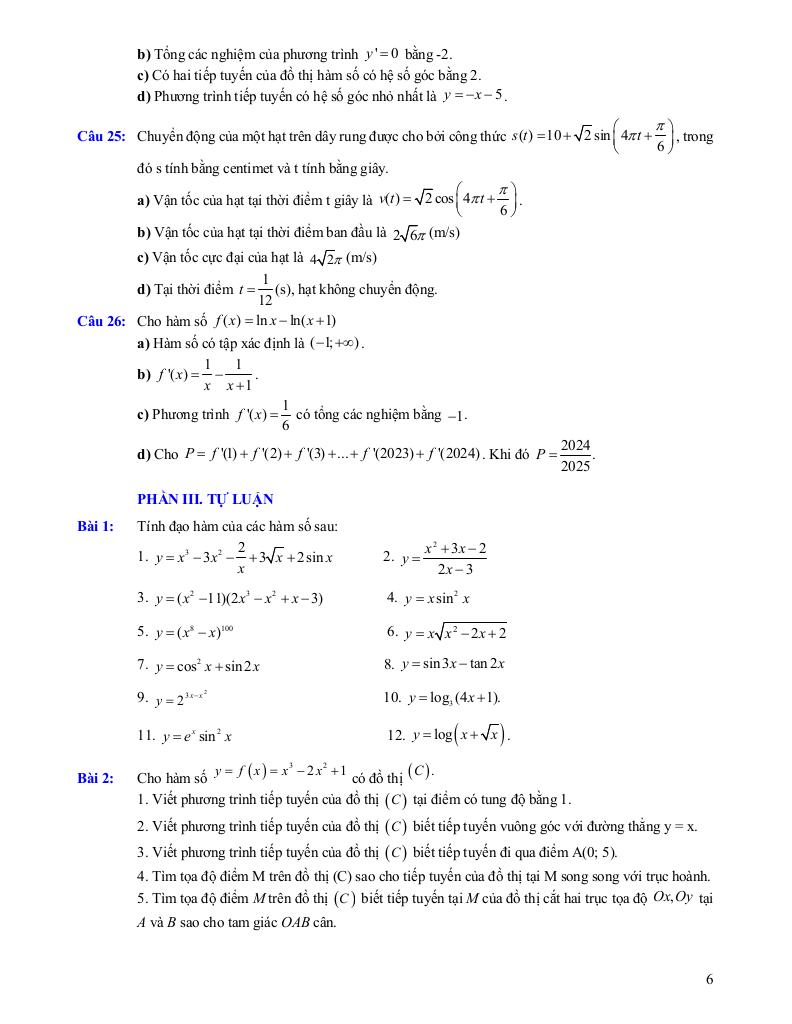
  1. Phương trình, bất phương trình mũ và lôgarit: Chủ đề này đòi hỏi học sinh nắm vững các tính chất của hàm số mũ, hàm số lôgarit, các quy tắc biến đổi và kỹ năng giải phương trình, bất phương trình liên quan. Đây là một trong những nội dung trọng tâm của chương trình Toán 11, thường xuyên xuất hiện trong các đề thi với nhiều dạng bài khác nhau.
  2. Đạo hàm: Chủ đề đạo hàm là nền tảng cho việc nghiên cứu hàm số ở chương trình Toán 12. Đề cương ôn tập này sẽ giúp học sinh củng cố kiến thức về định nghĩa đạo hàm, các quy tắc tính đạo hàm, ứng dụng của đạo hàm trong việc xét tính đơn điệu, cực trị của hàm số.
  3. Góc giữa đường thẳng và mặt phẳng. Góc nhị diện. Hai mặt phẳng vuông góc: Đây là phần kiến thức về hình học không gian, đòi hỏi học sinh có khả năng hình dung không gian, vận dụng các định lý, tính chất để tính góc và chứng minh các mối quan hệ vuông góc giữa đường thẳng và mặt phẳng.

Đánh giá và nhận xét:

Việc lựa chọn ba chủ đề này cho đề cương ôn tập là hoàn toàn hợp lý, bởi đây là những nội dung cốt lõi, mang tính chất quyết định trong chương trình Toán 11. Sự phân bổ trọng tâm vào các chủ đề này giúp học sinh tập trung ôn luyện những kiến thức quan trọng nhất, đảm bảo đạt hiệu quả cao trong kỳ kiểm tra. Đề cương này không chỉ giúp học sinh nắm vững lý thuyết mà còn rèn luyện kỹ năng giải quyết các bài toán thực tế, phát triển tư duy logic và khả năng vận dụng kiến thức vào các tình huống khác nhau.

Lưu ý: Để đạt kết quả tốt nhất, học sinh nên kết hợp việc học lý thuyết với việc giải nhiều bài tập đa dạng, tham khảo các tài liệu ôn tập khác và tìm kiếm sự hỗ trợ từ giáo viên khi gặp khó khăn.

Chinh phục đỉnh cao Toán 11 và đặt nền móng vững chắc cho cánh cửa Đại học với nội dung đề cương học kì 2 toán 11 năm 2024 – 2025 trường thpt chu văn an – hà nội trong chuyên mục Sách bài tập Toán 11 trên nền tảng tài liệu toán! Bộ bài tập lý thuyết toán thpt, được biên soạn chuyên sâu, bám sát chặt chẽ chương trình Toán lớp 11 và định hướng các kỳ thi quan trọng, cam kết tối ưu hóa toàn diện quá trình ôn luyện. Qua đó, học sinh không chỉ làm chủ kiến thức phức tạp mà còn rèn luyện tư duy giải quyết vấn đề, sẵn sàng cho các kỳ thi và chương trình đại học, nhờ phương pháp tiếp cận trực quan, logic và mang lại hiệu quả học tập vượt trội.
images-post/de-cuong-hoc-ki-2-toan-11-nam-2024-2025-truong-thpt-chu-van-an-ha-noi-01.jpgimages-post/de-cuong-hoc-ki-2-toan-11-nam-2024-2025-truong-thpt-chu-van-an-ha-noi-02.jpgimages-post/de-cuong-hoc-ki-2-toan-11-nam-2024-2025-truong-thpt-chu-van-an-ha-noi-03.jpgimages-post/de-cuong-hoc-ki-2-toan-11-nam-2024-2025-truong-thpt-chu-van-an-ha-noi-04.jpgimages-post/de-cuong-hoc-ki-2-toan-11-nam-2024-2025-truong-thpt-chu-van-an-ha-noi-05.jpgimages-post/de-cuong-hoc-ki-2-toan-11-nam-2024-2025-truong-thpt-chu-van-an-ha-noi-06.jpgimages-post/de-cuong-hoc-ki-2-toan-11-nam-2024-2025-truong-thpt-chu-van-an-ha-noi-07.jpgimages-post/de-cuong-hoc-ki-2-toan-11-nam-2024-2025-truong-thpt-chu-van-an-ha-noi-08.jpgimages-post/de-cuong-hoc-ki-2-toan-11-nam-2024-2025-truong-thpt-chu-van-an-ha-noi-09.jpgimages-post/de-cuong-hoc-ki-2-toan-11-nam-2024-2025-truong-thpt-chu-van-an-ha-noi-10.jpg

File đề cương học kì 2 toán 11 năm 2024 – 2025 trường thpt chu văn an – hà nội PDF Chi Tiết

TÌM KIẾM THEO TỪ KHÓA