Logo Header
  1. Môn Toán
  2. đề học kì 2 toán 7 năm 2024 – 2025 trường thcs ngọc lâm – hà nội

đề học kì 2 toán 7 năm 2024 – 2025 trường thcs ngọc lâm – hà nội

Bạn đang xem tài liệu đề học kì 2 toán 7 năm 2024 – 2025 trường thcs ngọc lâm – hà nội được biên soạn theo toán math mới nhất. Tài liệu này hệ thống hóa kiến thức một cách khoa học, phù hợp cho mọi lộ trình học từ cơ bản đến nâng cao. Hãy khai thác triệt để nội dung để bứt phá điểm số và tự tin chinh phục mọi kỳ thi nhé!

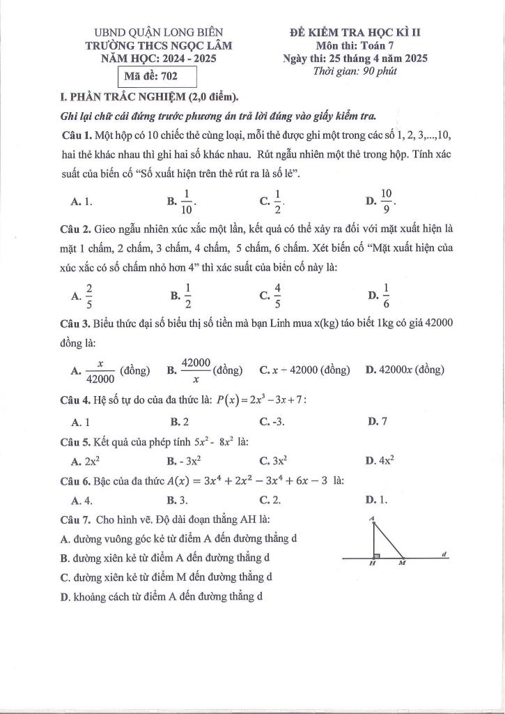
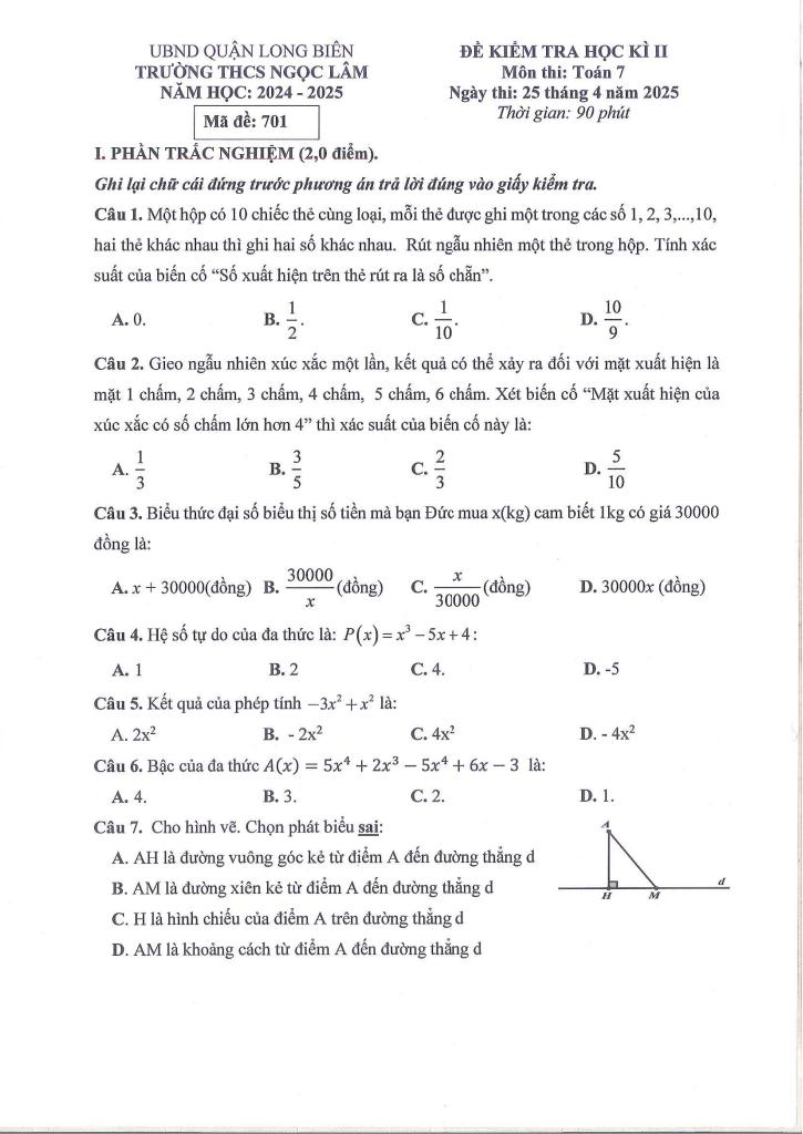
giaibaitoan.com xin giới thiệu đến quý thầy cô giáo và các em học sinh lớp 7 đề kiểm tra cuối học kì 2 môn Toán 7 năm học 2024 – 2025 của trường THCS Ngọc Lâm, quận Long Biên, thành phố Hà Nội. Đề thi được thực hiện ngày 25 tháng 04 năm 2025 và đi kèm với đáp án chi tiết, lời giải cụ thể cùng hướng dẫn chấm điểm, hỗ trợ tối đa cho công tác ôn tập và đánh giá năng lực học sinh.

Đề thi này có cấu trúc khá điển hình cho một bài kiểm tra cuối kỳ Toán 7, bao gồm các nội dung trọng tâm của chương trình học kỳ 2. Cụ thể, đề thi tập trung vào các chủ đề sau:

  1. Hình học: Kiểm tra kiến thức về đường vuông góc, đường xiên, hình chiếu và khoảng cách từ một điểm đến một đường thẳng.
  2. Đại số: Đánh giá khả năng vận dụng các biểu thức đại số để giải quyết các bài toán thực tế, cũng như kỹ năng tính toán và so sánh giá trị.
  3. Hình học: Kiểm tra các kiến thức về tam giác, đặc biệt là tam giác vuông, các trường hợp bằng nhau của tam giác, tính chất đường thẳng song song và các ứng dụng của chúng.

Dưới đây là trích dẫn chi tiết các câu hỏi trong đề thi:

  • Câu 1: (Hình học) Dựa vào hình vẽ cho trước, yêu cầu học sinh xác định phát biểu sai liên quan đến các khái niệm đường vuông góc, đường xiên, hình chiếu và khoảng cách. Câu hỏi này đòi hỏi học sinh nắm vững định nghĩa và phân biệt được các yếu tố hình học cơ bản.
  • Câu 2: (Đại số) Bài toán về ứng dụng thực tế, yêu cầu học sinh viết biểu thức đại số biểu diễn tổng chi phí mua hàng và tính toán giá trị biểu thức khi biết giá của từng sản phẩm. Đây là một bài toán giúp học sinh rèn luyện kỹ năng chuyển đổi từ ngôn ngữ tự nhiên sang ngôn ngữ toán học và áp dụng các phép toán cơ bản.
  • Câu 3: (Hình học) Bài toán chứng minh sự bằng nhau của hai tam giác dựa trên các yếu tố đã cho, sau đó suy ra tính chất song song của hai đường thẳng. Cuối cùng, bài toán yêu cầu chứng minh ba điểm thẳng hàng thông qua việc sử dụng các tính chất của đường thẳng, tam giác và trung điểm. Đây là một bài toán tổng hợp, đòi hỏi học sinh có khả năng vận dụng linh hoạt các kiến thức và kỹ năng đã học.

Đánh giá chung: Đề thi có độ khó phù hợp, bao gồm các câu hỏi từ dễ đến khó, giúp phân loại rõ ràng năng lực của học sinh. Các câu hỏi được trình bày rõ ràng, dễ hiểu, tạo điều kiện thuận lợi cho học sinh tiếp cận và giải quyết. Việc có đáp án, lời giải chi tiết và hướng dẫn chấm điểm sẽ là một công cụ hữu ích cho cả giáo viên và học sinh trong quá trình ôn tập và tự học.

Nhận xét: Đề thi tập trung vào việc kiểm tra các kiến thức cơ bản và kỹ năng giải quyết vấn đề, đồng thời khuyến khích học sinh áp dụng toán học vào thực tế. Đây là một đề thi chất lượng, có thể sử dụng làm tài liệu tham khảo cho các trường THCS khác.

Khám phá ngay nội dung đề học kì 2 toán 7 năm 2024 – 2025 trường thcs ngọc lâm – hà nội trong chuyên mục giải bài tập toán 7 trên nền tảng toán math để làm chủ kiến thức Toán lớp 7! Được biên soạn chuyên sâu và bám sát chặt chẽ chương trình sách giáo khoa hiện hành, bộ bài tập lý thuyết toán thcs cam kết tối ưu hóa toàn diện quá trình ôn luyện, giúp học sinh không chỉ củng cố vững chắc kiến thức mà còn phát triển tư duy logic, thông qua phương pháp tiếp cận trực quan, sinh động và mang lại hiệu quả học tập vượt trội.
images-post/de-hoc-ki-2-toan-7-nam-2024-2025-truong-thcs-ngoc-lam-ha-noi-01.jpgimages-post/de-hoc-ki-2-toan-7-nam-2024-2025-truong-thcs-ngoc-lam-ha-noi-02.jpgimages-post/de-hoc-ki-2-toan-7-nam-2024-2025-truong-thcs-ngoc-lam-ha-noi-03.jpgimages-post/de-hoc-ki-2-toan-7-nam-2024-2025-truong-thcs-ngoc-lam-ha-noi-04.jpgimages-post/de-hoc-ki-2-toan-7-nam-2024-2025-truong-thcs-ngoc-lam-ha-noi-05.jpgimages-post/de-hoc-ki-2-toan-7-nam-2024-2025-truong-thcs-ngoc-lam-ha-noi-06.jpgimages-post/de-hoc-ki-2-toan-7-nam-2024-2025-truong-thcs-ngoc-lam-ha-noi-07.jpgimages-post/de-hoc-ki-2-toan-7-nam-2024-2025-truong-thcs-ngoc-lam-ha-noi-08.jpgimages-post/de-hoc-ki-2-toan-7-nam-2024-2025-truong-thcs-ngoc-lam-ha-noi-09.jpgimages-post/de-hoc-ki-2-toan-7-nam-2024-2025-truong-thcs-ngoc-lam-ha-noi-10.jpg

File đề học kì 2 toán 7 năm 2024 – 2025 trường thcs ngọc lâm – hà nội PDF Chi Tiết

TÌM KIẾM THEO TỪ KHÓA