giaibaitoan.com xin giới thiệu đến quý thầy cô giáo và các em học sinh lớp 9 đề khảo sát chất lượng môn Toán 9 năm học 2024 – 2025 của trường THCS Nguyễn Du, quận Hoàn Kiếm, thành phố Hà Nội. Đề thi này không chỉ là một bài kiểm tra năng lực, mà còn là cơ hội để các em làm quen với các dạng bài tập ứng dụng thực tế, đòi hỏi tư duy logic và khả năng giải quyết vấn đề.
Đặc biệt, đề thi đi kèm với đáp án, lời giải chi tiết và hướng dẫn chấm điểm, giúp học sinh tự đánh giá kết quả và hiểu rõ hơn về phương pháp giải từng bài toán. Dưới đây là phân tích chi tiết về ba bài toán tiêu biểu trong đề thi:
Bài toán này là một ví dụ điển hình về ứng dụng Toán học vào việc tối ưu hóa kế hoạch. Đề bài mô phỏng một cuộc thi thể thao trực tuyến, yêu cầu học sinh xây dựng chiến thuật để đạt được huy chương Vàng với lượng calo tiêu thụ ít nhất. Để giải quyết bài toán này, học sinh cần:
Bài toán này không chỉ kiểm tra kiến thức về đại số, mà còn rèn luyện khả năng tư duy logic và lập kế hoạch của học sinh.
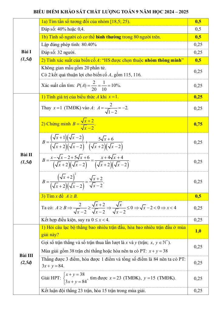
Bài toán này thuộc dạng toán giải hệ phương trình tuyến tính, được đặt trong bối cảnh thể thao quen thuộc. Đề bài cung cấp thông tin về số trận đấu, số điểm của câu lạc bộ Juventus và yêu cầu tính số trận thắng và hòa. Để giải quyết bài toán này, học sinh cần:
Bài toán này giúp học sinh củng cố kiến thức về hệ phương trình tuyến tính và rèn luyện kỹ năng giải toán một cách chính xác.
Bài toán này là một ứng dụng của xác suất thống kê, giúp học sinh hiểu rõ hơn về khái niệm xác suất và cách tính xác suất của một biến cố. Đề bài cung cấp dữ liệu về chỉ số IQ của 20 học sinh và yêu cầu tính xác suất để học sinh được chọn thuộc nhóm thông minh. Để giải quyết bài toán này, học sinh cần:
Bài toán này giúp học sinh làm quen với các khái niệm cơ bản về xác suất và rèn luyện kỹ năng phân tích dữ liệu.
Nhận xét chung:
Đề khảo sát chất lượng Toán 9 trường THCS Nguyễn Du có cấu trúc rõ ràng, bao gồm các bài toán có tính ứng dụng cao và đòi hỏi học sinh phải vận dụng kiến thức đã học để giải quyết. Các bài toán không chỉ kiểm tra kiến thức về đại số, hình học, xác suất thống kê, mà còn rèn luyện khả năng tư duy logic, phân tích vấn đề và lập kế hoạch của học sinh. Đây là một đề thi tốt để học sinh lớp 9 tự đánh giá năng lực và chuẩn bị cho các kỳ thi quan trọng sắp tới.





