giaibaitoan.com xin giới thiệu đến quý thầy cô giáo và các em học sinh đề khảo sát chất lượng môn Toán 12 năm học 2024 – 2025 của trường THPT Tĩnh Gia 1, tỉnh Thanh Hóa. Đề thi này là một công cụ hữu ích để đánh giá năng lực và rèn luyện kỹ năng giải đề của học sinh, đặc biệt trong bối chuẩn bị cho kỳ thi tốt nghiệp THPT và tuyển sinh đại học sắp tới. Đi kèm với đề thi là đáp án chi tiết và lời giải, giúp học sinh tự học và đối chiếu kết quả.
Đề thi năm nay có cấu trúc khá đa dạng, bao gồm các câu hỏi thuộc nhiều lĩnh vực khác nhau của chương trình Toán 12, đòi hỏi học sinh phải có kiến thức nền tảng vững chắc và khả năng vận dụng linh hoạt. Dưới đây là phân tích chi tiết về một số câu hỏi tiêu biểu:
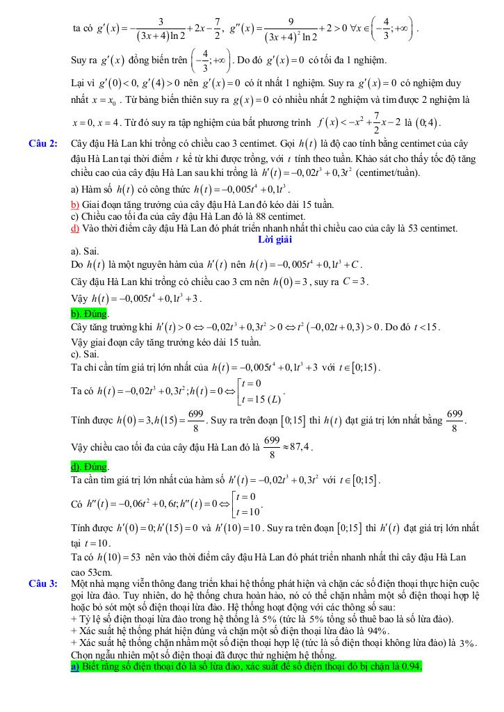
Câu hỏi này đề cập đến một tình huống thực tế về hệ thống phát hiện và chặn cuộc gọi lừa đảo của một nhà mạng viễn thông. Đây là một bài toán xác suất có điều kiện, yêu cầu học sinh phải hiểu rõ các khái niệm về xác suất, xác suất có điều kiện, và công thức Bayes. Các ý a, b, c, d của câu hỏi kiểm tra khả năng tính toán và phân tích số liệu trong các tình huống khác nhau. Việc đề cập đến một vấn đề thời sự như lừa đảo qua điện thoại giúp học sinh thấy được tính ứng dụng của môn Toán trong đời sống.
Đánh giá: Đây là một câu hỏi tốt, có tính thực tiễn cao và đòi hỏi học sinh phải có tư duy logic và khả năng giải quyết vấn đề.
Bài toán về bác Hai trồng cà chua và bắp là một ví dụ điển hình của bài toán quy hoạch tuyến tính. Học sinh cần xác định các biến, hàm mục tiêu và các ràng buộc của bài toán, sau đó sử dụng các phương pháp quy hoạch tuyến tính để tìm ra phương án tối ưu. Bài toán này kiểm tra khả năng mô hình hóa toán học và giải quyết các bài toán thực tế liên quan đến kinh tế.
Đánh giá: Đây là một câu hỏi quan trọng, thường xuyên xuất hiện trong các kỳ thi. Việc giải bài toán này đòi hỏi học sinh phải có kiến thức vững chắc về quy hoạch tuyến tính và kỹ năng giải toán tốt.
Câu hỏi về tòa nhà hình cánh buồm là một bài toán hình học không gian phức tạp, kết hợp với kiến thức về parabol và tích phân. Học sinh cần hình dung được hình dạng của tòa nhà, xác định các yếu tố hình học cần thiết, và sử dụng tích phân để tính thể tích. Bài toán này đòi hỏi học sinh phải có khả năng tư duy không gian, kỹ năng vẽ hình và kiến thức vững chắc về tích phân.
Đánh giá: Đây là một câu hỏi khó, đòi hỏi học sinh phải có trình độ cao và khả năng giải quyết vấn đề sáng tạo. Tuy nhiên, đây cũng là một câu hỏi thú vị, giúp học sinh rèn luyện tư duy và kỹ năng giải toán.
Nhận xét chung: Đề khảo sát Toán 12 THPT Tĩnh Gia 1 – Thanh Hóa năm học 2024 – 2025 là một đề thi chất lượng, có độ khó phù hợp và bao phủ nhiều kiến thức quan trọng của chương trình Toán 12. Đề thi này là một tài liệu tham khảo hữu ích cho học sinh và giáo viên trong quá trình dạy và học.
File WORD (dành cho quý thầy, cô): TẢI XUỐNG
Xem thêm đáp án: đề khảo sát toán 12 năm 2024 – 2025 trường thpt tĩnh gia 1 – thanh hóa









