Phân tích Đề Kiểm Tra 1 Tiết Đại Số 10 Chương 3 – Trường THPT Thái Bình Dương, Cần Thơ
Đề kiểm tra 1 tiết môn Đại số 10 chương 3 của trường THPT Thái Bình Dương, Cần Thơ là một đề thi đánh giá kiến thức cơ bản về phương trình và hệ phương trình. Đề thi có cấu trúc phổ biến gồm 16 câu trắc nghiệm và 3 bài toán tự luận, với thời gian làm bài 45 phút. Điểm đáng chú ý là đề thi có ma trận đề, thể hiện sự chỉn chu trong khâu thiết kế, đảm bảo bao phủ đầy đủ các nội dung trọng tâm của chương. Đặc biệt, đề thi được cung cấp kèm theo đáp án và lời giải chi tiết, đây là một lợi thế lớn cho học sinh trong quá trình tự học và ôn tập.
Đánh giá chung về nội dung đề thi:
Phân tích một số câu hỏi tiêu biểu:
“Một công ty Taxi có 85 xe chở khách gồm 2 loại, xe chở được 4 khách và xe chở được 7 khách. Dùng tất cả xe đó, tối đa mỗi lần công ty chở một lần được 445 khách. Hỏi công ty đó có mấy xe mỗi loại?”
Đây là một bài toán điển hình về việc giải hệ phương trình. Học sinh cần xác định được các đại lượng ẩn (số xe 4 chỗ và số xe 7 chỗ), thiết lập hệ phương trình dựa trên các thông tin đề bài cung cấp (tổng số xe và tổng số khách có thể chở), và giải hệ phương trình để tìm ra nghiệm. Các phương án đáp án được đưa ra đòi hỏi học sinh phải kiểm tra lại kết quả bằng cách thay vào phương trình ban đầu.
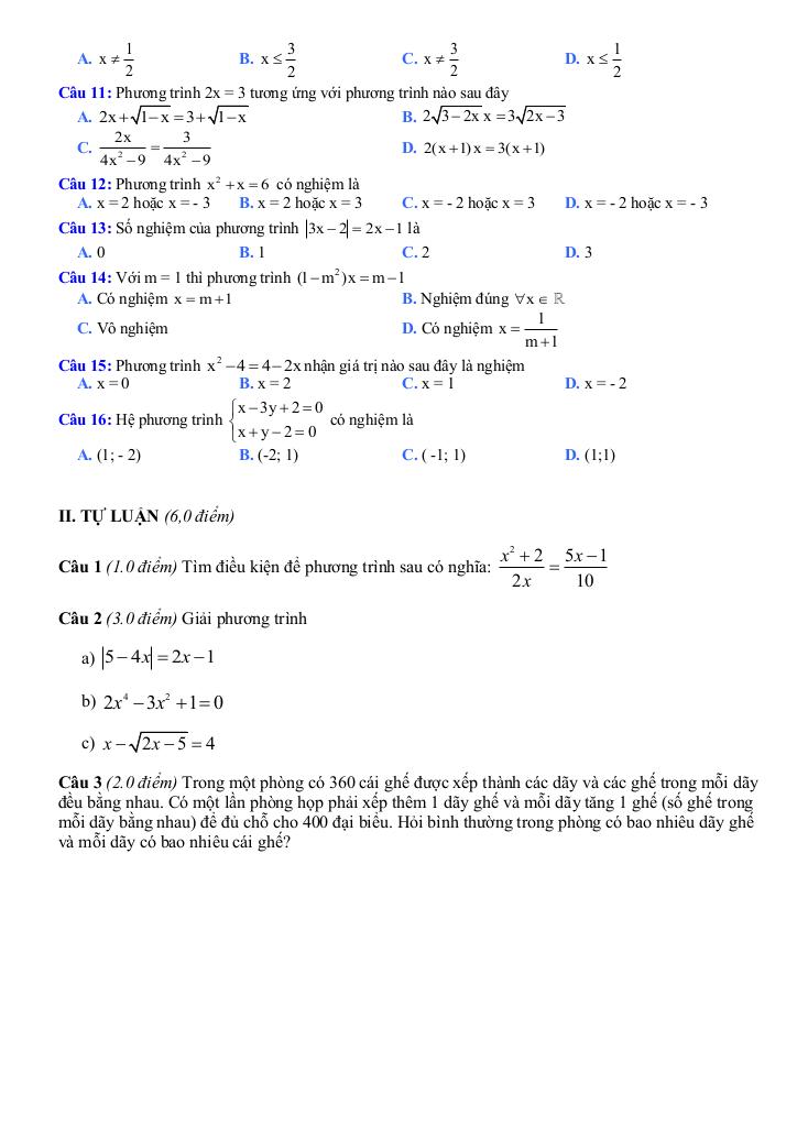
“Trong một phòng có 360 cái ghế được xếp thành các dãy và các ghế trong mỗi dãy đều bằng nhau. Có một lần phòng họp phải xếp thêm 1 dãy ghế và mỗi dãy tăng 1 ghế (số ghế trong mỗi dãy bằng nhau) để đủ chỗ cho 400 đại biểu. Hỏi bình thường trong phòng có bao nhiêu dãy ghế và mỗi dãy có bao nhiêu cái ghế?”
Bài toán này cũng yêu cầu học sinh giải hệ phương trình. Điểm khác biệt là bài toán này đòi hỏi học sinh phải suy luận và biểu diễn các đại lượng ẩn một cách chính xác. Việc xác định mối quan hệ giữa số dãy ghế và số ghế trong mỗi dãy là chìa khóa để giải quyết bài toán.
“Với m = 2 thì phương trình (2 – m)x = 1:”
A. Vô số nghiệm B. Có nghiệm duy nhất x = 1/2
C. Vô nghiệm D. Có nghiệm duy nhất x = 2
Câu hỏi này kiểm tra kiến thức về điều kiện để phương trình bậc nhất có nghiệm. Khi m = 2, phương trình trở thành 0x = 1, đây là một phương trình vô nghiệm. Do đó, đáp án đúng là C.
Kết luận:
Đề kiểm tra 1 tiết Đại số 10 chương 3 của trường THPT Thái Bình Dương, Cần Thơ là một đề thi tốt, có tính phân loại rõ ràng và đánh giá được năng lực của học sinh một cách khách quan. Việc có đáp án và lời giải chi tiết là một điểm cộng lớn, giúp học sinh tự học hiệu quả hơn. Đề thi này có thể được sử dụng làm tài liệu tham khảo cho học sinh và giáo viên trong quá trình dạy và học.




