Logo Header
  1. Môn Toán
  2. đề kiểm tra 1 tiết đs&gt 11 chương 3 trường thpt thị xã quảng trị

đề kiểm tra 1 tiết đs&gt 11 chương 3 trường thpt thị xã quảng trị

Bạn đang xem tài liệu đề kiểm tra 1 tiết đs> 11 chương 3 trường thpt thị xã quảng trị được biên soạn theo đề thi toán mới nhất. Tài liệu này hệ thống hóa kiến thức một cách khoa học, phù hợp cho mọi lộ trình học từ cơ bản đến nâng cao. Hãy khai thác triệt để nội dung để bứt phá điểm số và tự tin chinh phục mọi kỳ thi nhé!

Phân tích Đề Kiểm Tra 1 Tiết Đại Số & Giải Tích 11 – Chương 3 (Trường THPT Thị Xã Quảng Trị): Đánh Giá Xu Hướng và Độ Khó

Đề kiểm tra 1 tiết môn Đại số & Giải tích lớp 11, chương 3 của trường THPT Thị Xã Quảng Trị là một bài kiểm tra được thiết kế khá hiện đại và chú trọng vào việc đánh giá năng lực thực chất của học sinh. Với cấu trúc gồm 20 câu trắc nghiệm và 5 câu tự luận (điền kết quả) trong thời gian 45 phút, đề thi bao phủ chủ yếu các kiến thức về dãy số, cấp số cộng và cấp số nhân. Điểm đáng chú ý là đề thi không cung cấp đáp án cho các câu hỏi vận dụng và vận dụng cao ở phần trắc nghiệm, nhằm hạn chế yếu tố may mắn và tăng tính phân loại đối với học sinh khá giỏi.

Đánh giá chung:

  • Tính mới lạ: Việc loại bỏ đáp án ở các câu hỏi vận dụng cao là một cải tiến đáng ghi nhận, buộc học sinh phải tính toán và suy luận kỹ lưỡng hơn thay vì chỉ dựa vào việc loại trừ.
  • Độ khó: Đề thi có sự phân hóa rõ ràng, với các câu hỏi trắc nghiệm cơ bản giúp học sinh củng cố kiến thức nền tảng, và các câu tự luận cùng trắc nghiệm vận dụng cao đòi hỏi khả năng phân tích, tổng hợp và áp dụng linh hoạt công thức.
  • Tính thực tiễn: Các bài toán được xây dựng có tính ứng dụng, liên hệ với hình học, giúp học sinh thấy được mối liên hệ giữa các kiến thức toán học khác nhau.

Phân tích chi tiết một số câu hỏi tiêu biểu:

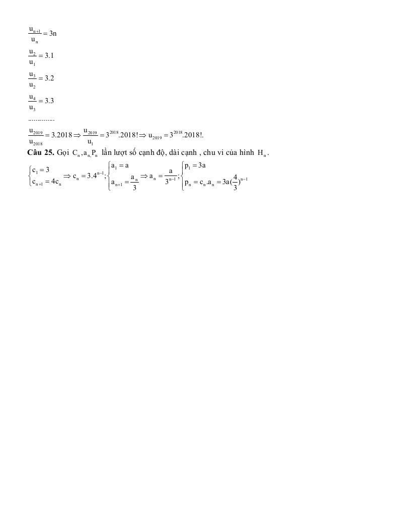
  1. Bài toán về tam giác đều: Bài toán xây dựng hình Hn từ tam giác đều H1 bằng cách chia cạnh và dựng thêm tam giác đều ở phía ngoài. Yêu cầu tính chu vi Pn theo a. Đây là một bài toán đòi hỏi học sinh phải quan sát kỹ quy luật hình học, xác định được mối quan hệ giữa các cạnh của các hình tam giác liên tiếp, và sử dụng công thức tính chu vi tam giác đều để tìm ra công thức tổng quát cho Pn. Bài toán này kiểm tra khả năng tư duy hình học và giải quyết vấn đề của học sinh.
  2. Bài toán về hình vuông: Bài toán cho hình vuông ABCD và các hình vuông con được tạo thành bằng cách nối trung điểm các cạnh. Yêu cầu tính tổng diện tích S = S1 + S2 + … + S100. Đây là một bài toán về dãy số, trong đó diện tích các hình vuông con tạo thành một cấp số nhân. Học sinh cần xác định được số hạng đầu, công bội và số số hạng của cấp số nhân để tính tổng. Bài toán này kiểm tra khả năng nhận diện dãy số và áp dụng công thức tính tổng của cấp số nhân.
  3. Bài toán về cấp số nhân: Bài toán cho tổng các số hạng của cấp số nhân hữu hạn u1 + u2 + … + u2n = 5(u1 + u3 + … + u2n-1) và yêu cầu tìm công bội q. Đây là một bài toán đại số, đòi hỏi học sinh phải sử dụng các công thức tính tổng của cấp số nhân, biến đổi đại số và giải phương trình để tìm ra giá trị của q. Bài toán này kiểm tra khả năng vận dụng công thức và kỹ năng giải phương trình của học sinh.

Nhận xét:

Đề kiểm tra này là một công cụ đánh giá hiệu quả, giúp giáo viên nắm bắt được mức độ hiểu bài và khả năng vận dụng kiến thức của học sinh. Việc thiết kế đề thi theo hướng giảm thiểu yếu tố may mắn và tăng cường tính phân loại là một xu hướng tích cực, góp phần nâng cao chất lượng giáo dục.

File WORD (dành cho quý thầy, cô): TẢI XUỐNG

Chinh phục đỉnh cao Toán 11 và đặt nền móng vững chắc cho cánh cửa Đại học với nội dung đề kiểm tra 1 tiết đs> 11 chương 3 trường thpt thị xã quảng trị trong chuyên mục toán 11 trên nền tảng đề thi toán! Bộ bài tập toán thpt, được biên soạn chuyên sâu, bám sát chặt chẽ chương trình Toán lớp 11 và định hướng các kỳ thi quan trọng, cam kết tối ưu hóa toàn diện quá trình ôn luyện. Qua đó, học sinh không chỉ làm chủ kiến thức phức tạp mà còn rèn luyện tư duy giải quyết vấn đề, sẵn sàng cho các kỳ thi và chương trình đại học, nhờ phương pháp tiếp cận trực quan, logic và mang lại hiệu quả học tập vượt trội.
images-post/de-kiem-tra-1-tiet-ds-gt-11-chuong-3-truong-thpt-thi-xa-quang-tri-1.jpgimages-post/de-kiem-tra-1-tiet-ds-gt-11-chuong-3-truong-thpt-thi-xa-quang-tri-2.jpgimages-post/de-kiem-tra-1-tiet-ds-gt-11-chuong-3-truong-thpt-thi-xa-quang-tri-3.jpgimages-post/de-kiem-tra-1-tiet-ds-gt-11-chuong-3-truong-thpt-thi-xa-quang-tri-4.jpgimages-post/de-kiem-tra-1-tiet-ds-gt-11-chuong-3-truong-thpt-thi-xa-quang-tri-5.jpgimages-post/de-kiem-tra-1-tiet-ds-gt-11-chuong-3-truong-thpt-thi-xa-quang-tri-6.jpgimages-post/de-kiem-tra-1-tiet-ds-gt-11-chuong-3-truong-thpt-thi-xa-quang-tri-7.jpg

File đề kiểm tra 1 tiết đs&gt 11 chương 3 trường thpt thị xã quảng trị PDF Chi Tiết