Logo Header
  1. Môn Toán
  2. đề kiểm tra đs và gt 11 chương 3 & 4 năm 2017 – 2018 trường đầm dơi – cà mau

đề kiểm tra đs và gt 11 chương 3 & 4 năm 2017 – 2018 trường đầm dơi – cà mau

Bạn đang xem tài liệu đề kiểm tra đs và gt 11 chương 3 & 4 năm 2017 – 2018 trường đầm dơi – cà mau được biên soạn theo toán mới nhất. Tài liệu này hệ thống hóa kiến thức một cách khoa học, phù hợp cho mọi lộ trình học từ cơ bản đến nâng cao. Hãy khai thác triệt để nội dung để bứt phá điểm số và tự tin chinh phục mọi kỳ thi nhé!

Đề kiểm tra ĐS-GT 11 – Chương 3 & 4 (Năm học 2017-2018, Trường THPT Đầm Dơi, Cà Mau – Mã đề 001): Phân tích chi tiết và đánh giá

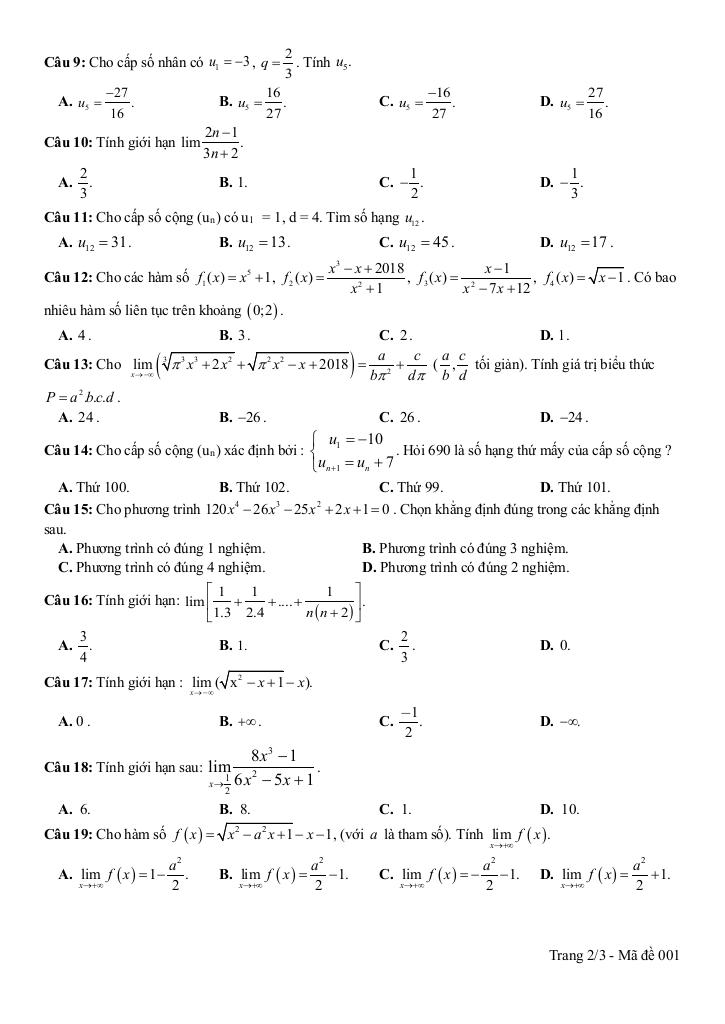
Đề kiểm tra Đại số và Giải tích 11, chương 3 và 4 của trường THPT Đầm Dơi, Cà Mau (năm học 2017-2018, mã đề 001) là một đề thi trắc nghiệm với cấu trúc quen thuộc, bao gồm 25 câu hỏi, được thiết kế để đánh giá mức độ nắm vững kiến thức của học sinh về các chủ đề quan trọng trong giai đoạn này của chương trình. Thời gian làm bài 45 phút, phù hợp với hình thức kiểm tra 1 tiết.

Nội dung chính của đề thi tập trung vào:

  • Dãy số: Kiểm tra khả năng nhận biết, xác định và vận dụng các tính chất cơ bản của dãy số.
  • Cấp số cộng và cấp số nhân: Đánh giá khả năng giải quyết các bài toán liên quan đến tính chất, công thức tổng quát, và ứng dụng của cấp số cộng và cấp số nhân.
  • Giới hạn của dãy số: Kiểm tra hiểu biết về khái niệm giới hạn của dãy số và các phương pháp tính giới hạn đơn giản.
  • Giới hạn của hàm số: Đánh giá khả năng tính toán và hiểu các định nghĩa về giới hạn hàm số.
  • Hàm số liên tục: Kiểm tra kiến thức về điều kiện liên tục của hàm số tại một điểm.

Đánh giá mức độ khó và phân loại câu hỏi (dựa trên các câu hỏi trích dẫn):

  1. Câu 1 (Phương trình bậc ba và cấp số nhân): Đây là một câu hỏi khó, đòi hỏi học sinh phải kết hợp kiến thức về phương trình bậc ba, điều kiện có nghiệm của phương trình, và tính chất của cấp số nhân. Việc giải quyết bài toán này đòi hỏi kỹ năng biến đổi đại số tốt và khả năng tư duy logic cao.
  2. Câu 2 (Cấp số cộng): Đây là một câu hỏi mức độ trung bình, kiểm tra khả năng vận dụng công thức tổng quát của cấp số cộng để tìm số hạng thứ n. Bài toán này yêu cầu học sinh nắm vững công thức và thực hiện các phép tính chính xác.
  3. Câu 3 (Phương trình bậc bốn): Câu hỏi này mang tính chất đánh lừa, đòi hỏi học sinh phải phân tích kỹ lưỡng phương trình và sử dụng các phương pháp ước lượng hoặc xét dấu để xác định số nghiệm. Việc lựa chọn đáp án đúng đòi hỏi sự cẩn thận và khả năng loại trừ các phương án sai.

Nhận xét chung:

Đề thi có sự phân hóa rõ ràng giữa các câu hỏi, từ dễ đến khó, giúp đánh giá được năng lực của học sinh một cách toàn diện. Các câu hỏi trích dẫn cho thấy đề thi chú trọng vào việc kiểm tra khả năng vận dụng kiến thức vào giải quyết các bài toán thực tế, không chỉ dừng lại ở việc ghi nhớ công thức. Việc đề thi có đáp án là một điểm cộng, giúp học sinh tự đánh giá kết quả và rút kinh nghiệm cho các bài kiểm tra sau.

File WORD (dành cho quý thầy, cô) cung cấp một công cụ hữu ích để giáo viên tham khảo và sử dụng trong quá trình giảng dạy và kiểm tra.

Chinh phục đỉnh cao Toán 11 và đặt nền móng vững chắc cho cánh cửa Đại học với nội dung đề kiểm tra đs và gt 11 chương 3 & 4 năm 2017 – 2018 trường đầm dơi – cà mau trong chuyên mục Sách bài tập Toán 11 trên nền tảng toán! Bộ bài tập lý thuyết toán thpt, được biên soạn chuyên sâu, bám sát chặt chẽ chương trình Toán lớp 11 và định hướng các kỳ thi quan trọng, cam kết tối ưu hóa toàn diện quá trình ôn luyện. Qua đó, học sinh không chỉ làm chủ kiến thức phức tạp mà còn rèn luyện tư duy giải quyết vấn đề, sẵn sàng cho các kỳ thi và chương trình đại học, nhờ phương pháp tiếp cận trực quan, logic và mang lại hiệu quả học tập vượt trội.
images-post/de-kiem-tra-ds-va-gt-11-chuong-3-4-nam-2017-2018-truong-dam-doi-ca-mau-1.jpgimages-post/de-kiem-tra-ds-va-gt-11-chuong-3-4-nam-2017-2018-truong-dam-doi-ca-mau-2.jpgimages-post/de-kiem-tra-ds-va-gt-11-chuong-3-4-nam-2017-2018-truong-dam-doi-ca-mau-3.jpgimages-post/de-kiem-tra-ds-va-gt-11-chuong-3-4-nam-2017-2018-truong-dam-doi-ca-mau-4.jpg

File đề kiểm tra đs và gt 11 chương 3 & 4 năm 2017 – 2018 trường đầm dơi – cà mau PDF Chi Tiết