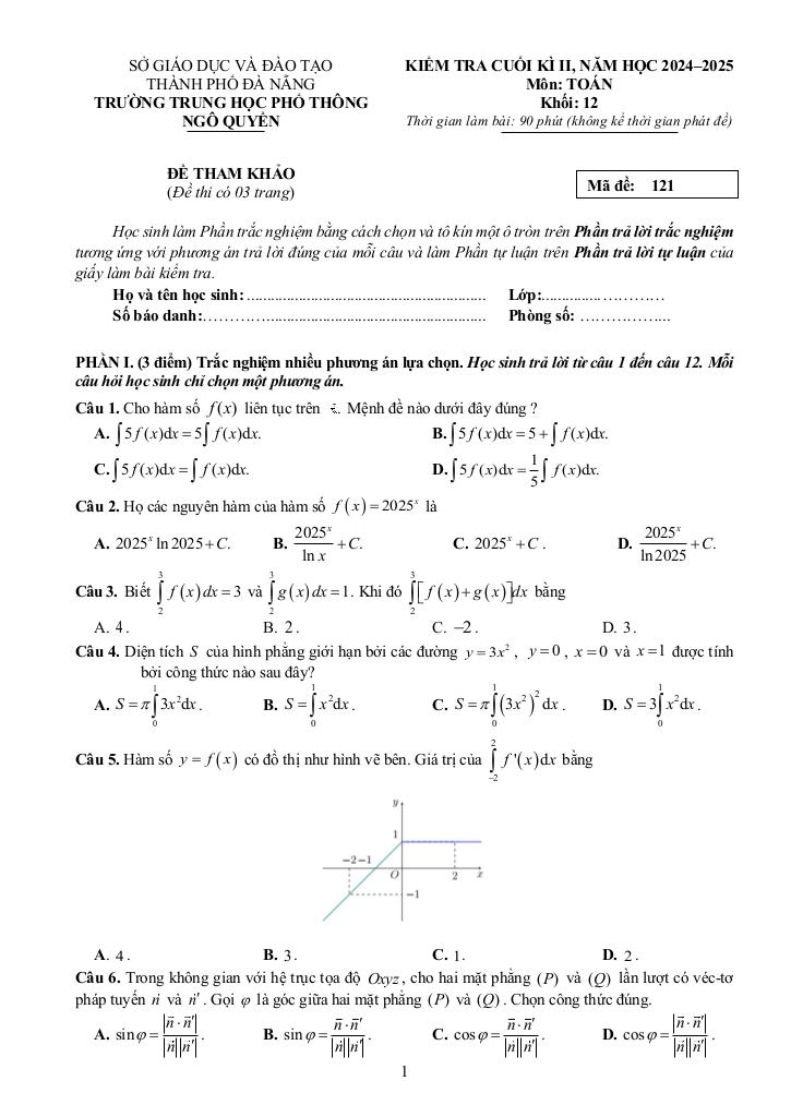
giaibaitoan.com xin giới thiệu đến quý thầy cô giáo và các em học sinh lớp 12 đề tham khảo kiểm tra cuối học kì 2 môn Toán 12 năm học 2024 – 2025 của trường THPT Ngô Quyền, thành phố Đà Nẵng. Đề thi này được đánh giá là có cấu trúc bám sát định hướng đề thi THPT Quốc gia, đồng thời thể hiện rõ yêu cầu về việc vận dụng kiến thức vào giải quyết các bài toán thực tế.
Cấu trúc đề thi được phân bổ như sau:
Thời gian làm bài: 90 phút.
Dưới đây là một số câu hỏi trích dẫn từ đề thi, kèm theo phân tích và nhận xét:
Câu 1: Ứng dụng xác suất thống kê trong thực tiễn
“Kết quả khảo sát về điểm số của học sinh về mối liên hệ giữa việc thức dậy sớm học bài buổi sáng và bài kiểm tra đạt điểm giỏi cho thấy: Tỉ lệ học sinh đạt điểm giỏi là 10%; Tỉ lệ học sinh thức dậy sớm để học bài là 30%; Tỉ lệ học sinh đạt điểm giỏi và dậy sớm học bài là 20%. Hỏi theo kết quả điều tra trên, việc thức dậy sớm để học bài sẽ làm tăng kết quả đạt điểm giỏi nên bao nhiêu lần?”
Nhận xét: Đây là một bài toán ứng dụng xác suất thống kê vào một tình huống quen thuộc trong học tập. Bài toán yêu cầu học sinh hiểu rõ khái niệm xác suất có điều kiện và biết cách tính toán để đưa ra kết luận. Việc đặt câu hỏi theo hướng “tăng kết quả đạt điểm giỏi nên bao nhiêu lần” giúp học sinh hình dung rõ hơn về ý nghĩa thực tế của xác suất.
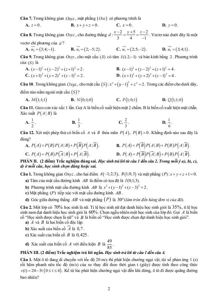
Câu 2: Xác suất và các biến cố độc lập
“Một lớp có 70% học sinh là nữ. Tỉ lệ học sinh nữ đạt danh hiệu học sinh giỏi là 35%, tỉ lệ học sinh nam đạt danh hiệu học sinh giỏi là 60%. Chọn ngẫu nhiên một học sinh của lớp đó. Gọi A là biến cố “Học sinh được chọn là nữ” và B là biến cố “Học sinh được chọn đạt danh hiệu học sinh giỏi”. a) A và B là hai biến cố độc lập. b) Xác suất của biến cố A là 0,7. c) Xác suất của biến cố B là 0,425. d) Xác suất của biến cố A với điều kiện B là 49/85.”
Nhận xét: Bài toán này kiểm tra kiến thức về xác suất của biến cố, xác suất có điều kiện và mối quan hệ giữa các biến cố độc lập. Các phương án a, b, c, d đòi hỏi học sinh phải tính toán chính xác và hiểu rõ các công thức liên quan. Đặc biệt, việc kiểm tra tính độc lập của hai biến cố là một yêu cầu quan trọng trong chương trình Toán 12.
Câu 3: Xác suất trong phép thử có lặp lại
“Cho một hộp kín có 6 thẻ ATM của BIDV và 4 thẻ ATM của Vietcombank. Lấy ngẫu nhiên lần lượt 2 thẻ (lấy không hoàn lại). Tìm xác suất để lần thứ hai lấy được thẻ ATM của Vietcombank nếu biết lần thứ nhất đã lấy được thẻ ATM của BIDV (kết quả làm tròn đến hàng phần trăm).”
Nhận xét: Đây là một bài toán về xác suất trong phép thử có lặp lại (lấy không hoàn lại). Bài toán yêu cầu học sinh hiểu rõ khái niệm xác suất có điều kiện và biết cách áp dụng công thức để tính toán. Việc lấy không hoàn lại làm thay đổi không gian mẫu ở lần lấy thứ hai, do đó học sinh cần phải chú ý đến yếu tố này khi giải bài toán.
Đánh giá chung: Đề thi tham khảo này có độ khó phù hợp, bao gồm các dạng bài tập khác nhau, từ cơ bản đến nâng cao. Đề thi tập trung vào việc kiểm tra khả năng vận dụng kiến thức vào giải quyết các bài toán thực tế, đồng thời đánh giá khả năng tư duy logic và phân tích của học sinh. Đây là một đề thi tham khảo hữu ích cho học sinh lớp 12 trong quá trình ôn tập và chuẩn bị cho kỳ thi cuối học kì.









